Up: Gain estimate for exoplanet
The Fried parameter gives a measure of the maximum resolution
attainable in uncompensated long-exposure images.
Thus, the point spread function (PSF) size is proportional
to
.
As compensation increases the image becomes a
bright core surrounded by a speckled halo
(Goodman 1985;
Hardy 1998;
Smithson et al. 1988).
The halo width,
,
can be obtained, equivalently to Eq. (7.20) in
Roddier (1981),
from:
 |
(8) |
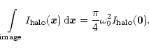
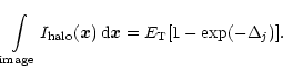
The left part of this equation is the total energy at the halo.
To estimate its value, we will use the following approximated
expression for the optical transfer function
(Goodman 1985)
As the separation between points becomes arbitrarily large,
the autocorrelation function
tends to zero and, hence, the
first term is the asymptote to which the OTF falls, whereas the second
represents the rise above that asymptote.
Assuming that the OTF of the original telescope is much wider than
the second term, an approximated expression for
the PSF becomes:
The first term (coherent energy) can be interpreted as a diffraction-limited
core of the PSF and the second a much
broader halo. Thus, the coherent energy is approximately a fraction
of the total energy, and, consequently, the
total energy in the halo is
times the total energy,
.
Then the first term of Eq. (8) can be estimated as:
![\begin{displaymath}%
\int\limits_{\rm image}I_{\rm halo}(\vec{x})\,\mbox{d}\vec{x}=
E_{\rm T}[1-\exp(-\Delta_j)].
\end{displaymath}](/articles/aas/full/2000/15/h2262/img28.gif) |
(11) |
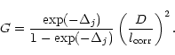
On the other hand, for high degrees of correction (phase error lower than 1 rad rms)
is the average diameter
of the halo (where f is the focal length of the system).
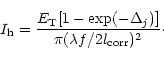
Hence, the halo mean intensity (
)
can be estimated as
the ratio between the total energy in the halo
and the
halo area:
![\begin{displaymath}%
I_{\rm h}=\frac{E_{\rm T}[1-\exp(-\Delta_j)]}{\pi(\lambda f/2l_{\rm corr})^2}\cdot
\end{displaymath}](/articles/aas/full/2000/15/h2262/img32.gif) |
(12) |
Then the mean intensity in the coherent peak is estimated as:
 |
(13) |
Now, in an experiment where the energy incoming from the star is E*and the energy from the planet
,
the ratio
between the intensity at the star and the peak of the planet will be:
![\begin{displaymath}%
\frac{R}{G}=\frac{E_*[1-\exp(-\Delta_j)]}
{\pi(\lambda f/2l...
...corr})^2}
\frac{\pi(\lambda f/2D)^2}{E_{\rm o}\exp(-\Delta_j)}
\end{displaymath}](/articles/aas/full/2000/15/h2262/img35.gif) |
(14) |
where
and G is the gain of the adaptive optics. Now, G can
be written as an explicit function of the residual
phase variance and
as:
 |
(15) |
Hence, this expression allows us to estimate the gain of the adaptive
system using the theoretical values of the residual
phase variance
and of the correlation length. It can be approximated by:
 |
(16) |
This approximated expression is similar to that obtained by
Angel (1994)
.
The main difference is that we
determine the halo width from the correlation length
,
instead of
,
which is the projection of the actuator size
over the telescope aperture. However, in the high correction range that is considered
in this paper,
and
have identical evolutions and
represent the greatest scale in which turbulence is corrected.
Figure 2 shows how the gain evolves as a function of the degree of compensation for
a series of D/r0 values.
![\begin{figure}
\includegraphics[width=8cm,clip]{fig2.eps}\end{figure}](/articles/aas/full/2000/15/h2262/Timg41.gif) |
Figure 2:
System gain as a function of the number of actuators for
D/r0=20 (short-dashed curve), 30 (solid curve) and 40 (long-dashed curve).
Values obtained by Angel, for D/r0=20, are also shown for comparison (dots) |
It can be seen that values obtained using Eq. (15)
are slightly lower than those predicted by Angel's expression. Our method is more
accurate because it is derived from the PSF model, instead of an approximate
estimate.
Finally, we will compare the integration time required using gain values derived from
Eq. (15) with that obtained by Angel. The comparison will be performed considering
the ideal compensation system proposed by
Angel (1994). The compensation system uses
104 actuators at a frequency higher than 2 kHz and scintillation is not considered (it
is assumed that it has been previously compensated).
From the Angel's expression relating the integration time T,
the signal-to-noise ratio S/N and the system gain, it is
possible to obtain an expression for the integration time as a
function of the residual phase variance:
 |
(17) |
where the system gain G can be estimated from Eqs. (15)
or (16). A typical value of the optimal duration of the adaptive
correction is
ms. We will consider that the planet is
detectable for a S/N=5 and the planet luminosity is 109
times that of the star. Figure 3 shows the exposure time evolution as a function
of the degree of compensation for
a series of D/r0 values.
The integration time is in order of magnitude similar to
that predicted by Angel. As an example with a telescope of 3 m and a Fried parameter of 10 cm
a planet could be detected in a 3 hours integration. These values are too optimistic
because an ideal compensation process is considered.
In actual experiments the residual phase variance can be different
from that theoretically expected due to a series of
noises. In this case, the actual phase variance can be
obtained from the experimental estimate of the Strehl ratio either using the
Marechal approximation
,
which provides quite good estimates for high compensation levels, or resolving
a more accurate expression recently proposed
(Cagigal & Canales 2000b)
![\begin{displaymath}%
\sigma_\phi^2=3.44 \left\{0.286 j^{-0.362} \left[ \frac{SR-...
...
{1-\exp(-\sigma_\phi^2)} \right]^{-1/2} \right\}^{5/3}\!\!\!.
\end{displaymath}](/articles/aas/full/2000/15/h2262/img45.gif) |
(18) |
This expression has the advantage that it remains valid for the whole range of
compensation degrees.
Hence the method to obtain the system gain will provide good results even in noisy conditions.
Still there are some error sources not taken into account as scintillation or
residual temporal decorrelation errors, that would require a more detailed analysis.
![\begin{figure}
\includegraphics[width=8cm,clip]{fig3.eps}\end{figure}](/articles/aas/full/2000/15/h2262/Timg46.gif) |
Figure 3:
Integration time to give an S/N ratio of 5 for R=109 and
D/r0=20 (short-dashed curve), 30 (solid curve) and 40 (long-dashed curve) |
Up: Gain estimate for exoplanet
Copyright The European Southern Observatory (ESO)