next previous
Up: The Planck-LFI instrument: Analysis


Subsections

   
3 Scan circles, sky maps and destriping

As reported in Mandolesi et al.([1998]), the selected orbit for PLANCK satellite will be a Lissajous orbit around the L2 Lagrangian point of the Sun-Earth system. The spacecraft spins at 1 rpm and the spin axis is kept on the Ecliptic plane at constant solar angle by repointing of 2.5' every hour. The field of view of the two instruments is between $\alpha\approx 80^{\circ}-90^{\circ}$ from the spin-axis direction. Hence PLANCK will trace large circles in the sky: these circles cross each other in regions close to the Ecliptic poles. The shape and width of these regions depend upon the angle $\alpha $, the scanning strategy and beam location in the focal plane. The value of the angle $\alpha $ has not yet been fully defined, as well as the scanning strategy, which may or may not include a periodic motion of the spin-axis away from the Ecliptic plane. These options depend on a trade-off between different systematic effects (striping, thermal effects, straylight), which have to be carefully addressed.

   
3.1 The "flight-simulator''

Burigana et al.([1997,1998]) have described in detail the code we have implemented for the PLANCK scanning strategy and we refer the reader to these papers. The relevant geometrical inputs are the beam location in the focal plane and the angle $\alpha $ between the spin and pointing axis.

For each beam position on the focal plane our code outputs the complete data stream. We consider here a reduced version of the actual baseline for the scanning strategy (actual parameters in parentheses): spin-axis shift of 5' every 2 hours (instead of 2.5' every hour) and three samplings per FWHM of 30' at 30 GHz (instead of 12 samplings every 30', i.e. 4 samplings every 10', the FWHM at 100 GHz; see Mandolesi et al.[1998]). These modifications allow us to explore a large region of the parameter space, beam position, $f_{\rm k}$, scanning strategy and pointing angle $\alpha $, in reasonable time. Furthermore we do not consider the single minute data stream but we take the average over the 120 circles forming a given 2-hours set. In what follows we run simulations for the 30 GHz channel.

Wright ([1996]) has shown that possible data filtering on a given scan circle may help in reducing the impact of 1/f noise. This is useful for values of knee frequency $f_{\rm k}$ typical for "total power'' receivers which are much higher that those considered here and therefore we chose not to include this technique here.

In general both the white noise sensitivity and the knee-frequency depend on the actual temperature in the sky Txseen by the horn. Our synthetic model for microwave sky emission includes a standard CDM prediction for CMB fluctuations plus a model of galactic emission. This model has the spatial template from the dust emission (Schlegel et al.[1998]) but has been normalized to include contribution from synchrotron, free-free and dust according to COBE-DMR results (Kogut et al. [1996]). The major foreground contamination at 30 GHz comes from synchrotron and free-free. We then choose to overestimate the overall synchrotron fluctuations by a factor of $\approx$ 10, leading to a maximum Galaxy emission of $\simeq 44$ mK. This is the worst case scenario with respect to destriping efficiency (see Sects. 3.3 and 3.4).

Of course the impact on the receiver sensitivity of the sky temperature Tx, dominated by the CMB monopole, T0, is not critical even including in Tx a typical environment temperature of about 1 K and the pessimistic Galaxy model adopted here, being in any case Tx a small fraction of the noise temperature $T_{\rm n}\sim 10$ K.

We convolve input maps with a pure symmetric gaussian beam with the nominal FWHM (33') of the 30 GHz PLANCK-LFI channel: therefore main-beam distortions and stray-light contamination are not considered here.

   
3.2 Generation of instrumental noise

We have the possibility to generate different kinds of noise spectra. We work in Fourier space and generate the real and imaginary part of Fourier coefficients of our noise signal. After generating a realisation of the real and imaginary part of the Fourier coefficients with spectrum defined in Eq. (1), we FFT (Fast Fourier Transform; Cooley & Tukey [1997]; Heideman et al.[1984]) them and obtain a real noise stream which has to be normalized to the white noise level. We use the theoretical value of $f_{\rm k}=0.05$ Hz at 30 GHz assuming a 20 K load temperature (see Sect. 2). We chose to generate one year of a mission by combination of 16 hour long noise stream ( $\sim 2~10^{6}$ data points) which correspond to 8 spin axis positions: this seems a reasonable compromise among our present knowledge of real hardware behaviour and the required computational time with respect noise stream length. The actual time for a generation of a noise stream 16 hours long and one year of mission even in our reduced scanning strategy is $\sim$ 10 hours on a Silicon Graphics machine with 2 Gb of RAM and clock speed of 225 MHz. We also verified that the most time consuming operation in our code is just the FFT 1/f noise generation. Better performances (Wandelt et al.[1999]; Wandelt & Górski [1999]) may be obtained using noise generation technique in real space (e.g. Beccaria et al.[1996] and Cuoco & Curci [1997] and references therein).

   
3.3 From data stream to sky maps

The final output of our "flight-simulator'' are 4 matrices with a number of rows equal to the considered spin-axis positions $n_{\rm s}$ (for one year of mission $\sim 4320$ in our reduced baseline as in Sect. 3.1) and a number of columns equal to the number of integrations, weakly dependent on $\alpha $, along one scan circle (here $n_{\rm p}\sim 2160$). The input and output maps are in HEALPix pixelisation scheme (Górski et al.[1998], http: $\backslash\backslash$www.tac.dk $\backslash$~healpix); we use an input map with a resolution of about 3.5'corresponding to 12 million equal area pixels on the full sky. For each circle, the code outputs are the pixel number ${\bf N}$at the specified resolutions, the temperature plus total (white plus 1/f noise) noise contribution ${\bf T}$, the temperature with only white noise ${\bf W}$ and the pure signal as observed in absence of instrumental noise ${\bf G}$. The W and G will be used for studying the degradation of 1/f noise with respect to the ideal pure white noise case and the impact of scanning strategy geometry on observed pixel temperatures.

We can arbitrarily choose the temperature output data stream resolution from 3.5' to higher values (smaller resolution) which set also the output temperature map resolution. Regarding the data stream for the pixel number outputs we can also use higher resolutions, allowing to test the impact of using more or less stringent crossing conditions in the destriping algorithm (see the following section).

From these data streams it is quite simple to obtain observed simulated maps: we make use of ${\bf N}$ and ${\bf T}$ to coadd the temperatures of those pixels observed several times during the mission. In the same way we build maps with only white noise contribution, without receiver noise, as well as a sensitivity map knowing how many times a single pixel is observed.

In Fig. 1 we show a pure noise (white plus 1/f) map in Ecliptic coordinates after signal subtraction ( ${\bf T} - {\bf G}$): stripes are clearly present.

  \begin{figure}
{
\psfig{figure=ds8912f1.ps,height=6cm,width=11cm,angle=90} }
\end{figure} Figure 1: Pure noise (white and 1/f noise together) map before destriping: stripes are clearly present. The adopted $f_{\rm k}$ is 0.05 Hz and units are in mK. See the text for simulation input parameters

   
3.4 Destriping techniques

We developed a simple technique which is able to eliminate gain drifts due to 1/f noise. This is derived from the COBRAS/SAMBA Phase A study proposal (Bersanelli et al.[1996]) and from a re-analysis of Delabrouille ([1998]). As reported by Janssen et al.([1996]) the effect of 1/f noise can be seen as one or more additive levels, different for each scan circle. We worked with averaged (over 2 hours period) scan circles and hence we nearly removed drifts within each circle: what is left is related to the "mean'' 1/f noise level for this observation period. In fact averaging scan circles into a single ring corresponds to a low-pass filtering operation. As long as $f_{\rm k}$ is not far larger than the spin frequency, this ensures that only the very lowest frequency components of the 1/f noise survive. Therefore it is a good approximation to model the averaged 1/fnoise as a single constant offset Ai for each ring for the set of parameters we are using. We want to obtain the baselines for all the circles and re-adjust the signals correspondingly.

In order to estimate the different Ai we have to find common pixels observed by different scan circles and the pixel size in the matrix N is a key parameter. Increasing the resolution used in N reduces the number of crossings possibly yielding to lower destriping efficiency, while adopting resolutions lower than the resolution of the input map and of the matrix T introduces extra noise, related to variations of real sky temperature within the scale corresponding to the lower resolution adopted in N, which may introduce artifacts in the destriping code. The adopted pessimistic galactic emission model, which by construction has gradients larger than those inferred by current data, emphasizes this effect and our simulations are then conservative in this respect. In the following Nil, Til and Eil will denote the pixel number, the temperature and the white noise level for the pixel in the $i^{\rm th}$ row and $l^{\rm th}$ column. Let us denote a generic pair of different observations of the same pixel with an index $\pi$ which will range between 1 and $n_{\rm c}$, the total number of pairs found. In this notation $\pi$ is related to two elements of ${\bf N}$: $\pi\rightarrow(il,jm)$ where i and j identify different scan circles and l and m the respective position in each of the two circles.

We want to minimize the quantity:

 
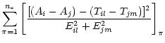
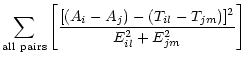
S = $\displaystyle \sum_{{\rm all\ pairs}} \left[\frac{[(A_i - A_j) -
(T_{il}-T_{jm})]^2}
{E_{il}^2+E_{jm}^2}\right]$  
  = $\displaystyle \sum_{\pi=1}^{n_{\rm c}} \left[\frac{[(A_i - A_j) - (T_{il}-T_{jm})]^2}
{E_{il}^2+E_{jm}^2}\right]_\pi$ (2)

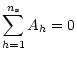
with respect to the unknown levels Ai. The sub-index $\pi$ indicates that each set of (il,jm) is used in that summation. It is clear that S is quadratic in all the unknown Ai and that only differences between Ai enter into Eq. (2). Therefore the solution is determined up to an arbitrary additive constant (with no physical meaning for anisotropy measurements). We choose then to remove this indetermination by requiring that $\sum_{h=1}^{n_{\rm s}} A_h = 0$. This is equivalent to replace Eq. (2) with $S' = S + \left(\sum_{h=1}^{n+s} A_h\right)^2$. After some algebra we finally get:
 
$\displaystyle \frac{1}{2}\frac{\partial S'}{\partial A_k}$ = $\displaystyle \sum_{\pi=1}^{n_{\rm c}}
\left[\frac{ [(A_i-A_j)-(T_{il}-T_{jm})]\cdot [\delta_{ik}-\delta_{jk}]}
{E_{il}^2-E_{jm}^2}\right]_\pi$  
  + $\displaystyle \sum_{h=1}^{n_{\rm s}} A_h = 0$ (3)

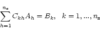
for all the $k=1,...,n_{\rm s}$ (here $\delta$ is the usual Kronecker symbol). This translates into a set of $n_{\rm s}$ linear equation

 \begin{displaymath}\sum_{h=1}^{n_{\rm s}} C_{kh}A_{h} = B_k, \ \ k=1,...,n_{\rm s}
\end{displaymath} (4)

which can be easily solved. Furthermore we note that by construction the matrix ${\bf C}$ of Ckh coefficients is symmetric, positive defined and non singular. The first property permits to hold in memory only one half of the matrix ${\bf C}$ (e.g. the upper-right part), the second allows us to solve the linear system without having to exchange rows or columns (Strang [1976]), so preserving the symmetry. The non-singularity of ${\bf C}$ is true provided that there are enough intersections between different circles and hence is related to the resolution at which we look for common pixels between different scan circles, to the scanning strategy and beam location. A detailed discussion of numerical algorithm for solving this system with significant saving of required RAM is presented in Burigana et al.([1997]).

It is interesting to note that the applicability of this destriping technique does not depend upon any a-priori assumption about the real value of $f_{\rm k}$ or the real noise spectral shape since it can work also for different values of the exponent $\beta$ in Eq. (1).


next previous
Up: The Planck-LFI instrument: Analysis

Copyright The European Southern Observatory (ESO)