Up: Catching the light curve
Subsections
As a model of mass distribution in the lens galaxy, we will use the so-called
Isothermal Sphere with Core (ISC), which gives a quite good description of
the matter distribution in galaxies of different types
(Hinshaw & Krauss 1987).
We use a standard set of parameters:
,
,
(linear distances to the lens galaxy,
to the GRB source and between the lens galaxy and the GRB source,
respectively),
(velocity dispersion in the lens galaxy),
,
(linear and angular radius of
galaxy core),
and
(real and visual angular position
of the source from the "observer-lens" axis in units of
).
The lens equation is the following
(see e.g.
Wu 1989):
|  |
(1) |
where
|  |
(2) |
is a dimensionless parameter.
This equation can have 1 or 3 real solutions, which correspond to 1 or 3
source images or one or three bursts (i.e. two repetitions).
It can be shown that this equation has three real roots when D > 2.
To obtain these roots, an additional restriction for
is necessary
(Beskin et al. 1998a,b):
|  |
(3) |
| |
This means that we will have 3 GRBs from one source if its angular position
is less than
.
Let us give quantitative estimates assuming
and H0=
50 km s-1 Mpc-1. For the distances we have
| ![\begin{displaymath}
D_{\rm d,s} = 12 \left [1-(1+z_{\rm d,s})^{-1/2} \right ]
(1+z_{\rm d,s})^{-1}~{\rm Gpc}.\end{displaymath}](/articles/aas/full/1999/15/r8/img18.gif) |
(4) |
It can also be shown that
| ![\begin{displaymath}
D_{\rm ds} = 12
\left [
\left(
\frac{1+z_{\rm s}}{1+z_{\rm d}}
\right)^{1/2}
-1
\right] (1+z_{\rm s})^{-3/2}~{\rm Gpc}.\end{displaymath}](/articles/aas/full/1999/15/r8/img19.gif) |
(5) |
To estimate D we take
km s-1 and
kpc for elliptical galaxies,
km s-1 and
kpc for spirals (Fukugita & Turner 1991;
Hinshaw & Krauss 1987).
As it is shown in Table 1, elliptical galaxies
can give three images of GRB for any combination of
and
.
In the case of a spiral galaxy,
only for
and
.We estimated the probability P of GRB repetitions for elliptical
galaxies of size
kpc, if the GRB is seen through it (see Table 1).
We used for P the expression
, where R is
the size of the galaxy.
Table 1:
Probability P of repetitions for GRB lensed by elliptical
galaxies of size
kpc for different
and
 |
From Table 1 we see that about
of the most distant GRBs
will be repeated if their emissions pass close to elliptical galaxies
placed not far from us.
As an example, we now compute the parameters of repeated transients --
intensities and delay times between two subsequent repetitions -- for
. The estimate of the intensity ratios is obtained according
to the expression of lens magnification
(Wu 1996):
| ![\begin{displaymath}
\mu = \left \vert\frac {\beta_0} {\theta_0} \left [1+ \left ...
...theta^2_0 \right )^{-\frac{1}{2}}
\right ] \right \vert ^{-1}.\end{displaymath}](/articles/aas/full/1999/15/r8/img34.gif) |
(6) |
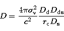
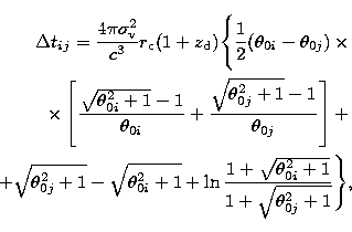
The time delay is instead defined with the expression
(Beskin et al. 1998a):
|  |
|
| |
| (7) |
which is obtained with the help of the Fermat's potential (see e.g.
Schneider et al. 1992).
Table 2:
Parameters of the repeated GRBs with respect to the first one
 |
In Table 2 are reported the parameters of the repeated GRBs for
60
(the source
is assumed at
4, while the elliptical galaxy has
0.5).
Thus, repeating transients can be perfectly observed, although they would be
4-7 magnitudes fainter than the first event. Delay times cover the range
from days to years, while characteristic times of physical
intensity variations span from days to months. For this reason,
light curves can have complicated structures.
To distinguish repeating transients we need to analyze all the available data,
such as variations of intensity, astrometry and spectroscopy.
It is necessary to note that observable angular distances between the first GRB
and the repeated transients are
i.e. they can be separated.
Up: Catching the light curve
Copyright The European Southern Observatory (ESO)