next previous
Up: Evolutionary synthesis of simple


Subsections

4 Results

4.1 Colours

Figures 1 and 2 show the evolution of B-V and V-I versus time of our SSPs on a logaritmic time scale for all metallicities. After a few Gyrs the changes in both colours become very slow, and the metallicity dependence becomes more important. Tables 1 through 3 give the time evolution of all our broad band colours from U to K for 6 metallicities from Z=0.0001 to Z=0.05 for a wide range of ages.


  
Table 1: The model colours. Time is in years. U, B and V are in the Johnson system, R and I in the Cousins system, K as in Bessell & Brett (1988)


  
Table 2: Continuation of Table 1 for Z = 0.0004


  
Table 3: Continuation of Table 1 for Z = 0.004


  
Table 4: Continuation of Table 1 for Z = 0.008


  
Table 5: Continuation of Table 1 for Z = 0.02


  
Table 6: Continuation of Table 1 for Z = 0.05

In Figs. 3 and 4 the colours B-V and V-I are shown as a function of metallicity for the models at evolutionary ages of 10, 12 and 15 Gyr together with colors of dereddened GCs from the McMaster catalogue (Harris 1996). In general, we see a good agreement between the models and the observed clusters. The large spread in colour in the observed clusters probably arises from observational errors.

It can also be seen in both models and observations, that for very low metallicities the colour-metallicity relation cannot be expressed by a simple linear function. For $[M/H] \mathrel{\hbox to 0pt{\lower 3pt\hbox{$\mathchar''218$}\hss}
\raise 2.0pt\hbox{$\mathchar''13C$}}-1.7$, the relation becomes significantly flatter. The flattening is particularly pronounced in V-I. The models also show that the (V-I)-metallicity relation steepens for [M/H] > 0. Very often the metallicity is calculated for globular cluster systems in other galaxies from V-I using a simple linear regression line calculated from Galactic GCs. The models show that this approach is dangerous for metallicities higher than those of Galactic GCs. A quadratic or higher order fit would not improve things if calculated for low metallicities and applied to higher metallicities as it would include further uncertainties. Therefore a theoretical calibration like the one provided here is to be preferred.

  
Table 7: Indices. Time is in years. See Worthey (1994) for index definitions


  
Table 8: Continuation of Table 7

  
\begin{figure}
\includegraphics [width=8.8cm,clip]{SSP.time_bv.logtime.ps}\end{figure} Figure 1: B-V versus time with logarithmic scaling for time (solid line: Z=0.0001, dotted line: Z=0.0004, short-dashed line: Z=0.004, long dashed line: Z=0.008, thick line: Z=0.02, dot-dashed line: Z=0.05)
  
\begin{figure}
\includegraphics [width=8.8cm,clip]{SSP.time_vi.logtime.ps}\end{figure} Figure 2: V-I versus time with logarithmic scaling for time
  
\begin{figure}
\includegraphics [width=8.8cm,clip]{SSP.feh_bv.eta035.ps}\end{figure} Figure 3: B-V colour versus metallicity for observerd clusters (stars) from Harris with E(B-V) < 0.4 and models at 10 (squares) ,12 (diamonds) and 15 (circles) Gyrs with $\eta = 0.35$. The observed colours have been deredened
  
\begin{figure}
\includegraphics [width=8.8cm,clip]{SSP.feh_vi.eta035.ps}\end{figure} Figure 4: Same as Fig. 3, but for V-I
  
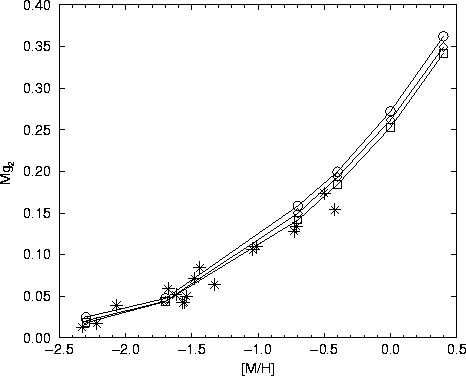
\begin{figure}
\includegraphics [width=8.8cm,clip]{SSP.feh_mg2.eta035.ps}\end{figure} Figure 5: Mg2 versus metallicity for observerd clusters (stars) and models at 10 (squares) , 12 (diamonds) and 15 (circles) Gyrs with $\eta = 0.35$. The observed indices are from Burstein, their metallicities from Harris
  
\begin{figure}
\includegraphics [width=8.8cm,clip]{SSP.feh_fe5270.eta035.ps}\end{figure} Figure 6: Same as Fig. 5, but for Fe5270
  
\begin{figure}
\includegraphics [width=8.8cm,clip]{SSP.mg2_hbeta.eta035.ps}\end{figure} Figure 7: The H$_\beta$ index against Mg2 index for observations of Galactic GCs (stars), M 31 GCs (crosses) and models
  
\begin{figure}
\includegraphics [width=8.8cm,clip]{SSP.mg2_fe5335.eta035.ps}\end{figure} Figure 8: Same as Fig. 7 but for the Fe5335 index
  
\begin{figure}
\includegraphics [width=8.8cm,clip]{SSP.mg2_tio1.eta035.ps}\end{figure} Figure 9: Same as Fig. 7 but for the TiO1 index
  
\begin{figure}
\includegraphics [width=8.8cm,clip]{SSP.met_mg2.ages.ps}\end{figure} Figure 10: The Mg2 index against metallicity for various ages. Thin solid line: 0.5 Gyrs, dotted line: 1 Gyr, dashed: 2 Gyrs, long dashed: 4 Gyrs, dot dashed: 8 Gyrs, thick solid line: 12 Gyrs

  
\begin{figure}
\includegraphics [width=8.8cm,clip]{author_comp.bv.ps}\end{figure} Figure 11: Comparison of B-V against age predicted with our models with those of other authors

  
\begin{figure}
\includegraphics [width=8.8cm,clip]{author_comp.mg2.ps}\end{figure} Figure 12: Comparison of the Mg2 index against age as predicted with our models to those of other authors

4.2 Indices

In Figs. 5 and 6 we plot against metallicity the indices Mg2 and Fe5270 from our models and those of Galactic clusters from Burstein (1984). The agreement of the models with the observations is very good over the metalicity range covered by the data. Model calibrations of both Mg2 and Fe5270 as functions of metallicity are almost independent of age for ages close to a Hubble time.

Figure 7 shows the H$_\beta$ index against the Mg2 for Galactic GCs and clusters from M 31. As can be seen in the figure the $H_\beta$ index is higher for higher metallicity for the M 31 GCs than for the Milky Way clusters. This was already noted by Burstein (1984) though the reason for this discrepancy is still unknown. The models fall right between the two groups. It can also be seen that the H$_\beta$ to Mg2 relation is dependent largely on age. If it were not for the large spread present in the H$_\beta$ observations this index would be a good tool to disentangle age from metallicity.

The Fe5335 and TiO1 are plotted against Mg2 for observations from Burstein in Figs. 8 and 9 respectively. Both the relations between the Fe5335 and TiO1 indices and Mg2 are virtually independent of model age for ages close to a Hubble time.

In Fig. 10 we show the model index Mg2 against metallicity for a wide range of ages from 0.5 to 12 Gyrs.

4.3 Comparison with other authors

  We compared our results with those of Bruzual & Charlot (BC96) (1996), Vazdekis et al. (1996), Worthey (1994), Tantalo et al. (1996) (for B-V) and Tantalo et al. (1998) (for Mg2). With the exception of the models from Worthey, all models are based on the Padua tracks.

Our B-V - colours are very close to those of the BC96 models. This is surprising since they also calibrated their colours with the library from Lejeune. The models from Vazdekis et al. are bluer at all times. They use a different empirical calibration. The B-V - colours for all models seem to converge at high ages.

The calibration of the indices are from Worthey (1994) for all models with the exception of the models from Tantalo et al. (1998), who use the empirical calibrations from Borges et al. (1995) for Mg2 which depend on the [Mg/Fe] ratio.

Our Mg2 indices are lower than those of BC96 and Vazdekis at high ages by less than 0.02 mag, but more close to those of Worthey. Probably due to the different calibrations for their indices, the Mg2 indices of Tantalo et al. are lower than those of all the other models considered here.


next previous
Up: Evolutionary synthesis of simple

Copyright The European Southern Observatory (ESO)