Up: The Bordeaux and Valinhos
Subsections
The purpose of the image processing is to search in the observed field
for all the objects which may be detected, in order to identify
them and to measure their positions and their fluxes.
Two axes Ox and Oy, where O is the origin of the field, x is along the
movement of the strip, and y is perpendicular to x, determine the frame of
reference of the observed field. Origin O corresponds to the beginning of the
strip in x and to the centre of the strip in y. The columns in y which
make up the field are processed one by one in the order of their arrival.
For each column, image processing is achieved in 3 steps:
- extraction of the sky background;
- detection of the objects present in the field and their possible
identification by comparison with a reference catalogue;
- measurement of the position and the flux of each detected object.
The extraction of the sky background is made either by fitting
a polynomial of a degree between 0 and 3 on each column in y, or by
using a median filter when the field has strong gradients of flux
(e.g. near the Moon, observations of planetary satellites, presence of
condensation or hoarfrost, ...). In most cases, there is no
significant gradient of flux and the results obtained with both
methods are rather similar.
A polynomial is fitted on the flux received on each pixel of the
column by least-squares and is substracted from the sky background.
Each pixel gives the equation:
![\begin{displaymath}
{\rm flux}(i) = a\ [+ bi\ [+ ci^{2}\ [+ di^{3}]]] \end{displaymath}](/articles/aas/full/1999/01/ds7937/img9.gif)
where i is the number of the pixel in the column, a,b,c,d are
the unknowns of the system and brackets indicate optional terms
which depend on the degree of the polynomial. Pixels
with residuals greater than 3
(where
is the
standard deviation of the residuals) may belong to an object and
are therefore removed from the polynomial fit.
As changes in the sky background from one column to another
are very small, the solution found for one column is used as initial
conditions for the next column.
This method is fast but is inconvenient in the case of strong
gradients, as mentioned above. However, it can be used in the case of
moderate gradients, like those caused by a globular cluster for example.
The principle underlying the classical median filter consists, for each pixel of
the image, in searching in a square of
pixels (with
and odd) centered on this pixel for the median value of the flux of the
pixels, and then substracting this value from the flux of the
central pixel. In our case,
n must be large enough so that the filter can encompass the largest
detected objects. For this reason, a value of n=15 was assumed (Fig.
2).
 |
Figure 2:
Principle of the median filter |
The search for the flux median value of the 225 pixels which
make up the filter, when it is done for each of the pixels of the
field, requires a lot of computation time and slows down
the image processing considerably. That is why a slightly different method was
used here. The principle of this method is first to search for the median
value Mh(i) of the flux for the pixels along each row i of the filter
(i.e. horizontal median), then to search among the 15 values of
the flux Mh(i) obtained for the median value M (i.e. vertical median).
M is then substracted from the flux of the central pixel of the
filter. This method is much faster than the classical method and
results from both methods are very close. No pixel rejection is
made when searching for the median value of the flux.
After extraction of the sky background, the standard deviation
of the residuals of the pixels of the processed column is
calculated. Pixels with residuals greater than 3
may
belong to an object. In order to avoid as far as possible
identifying some possible parasitic effects with actual objects, an object is
defined by at least 2 consecutive pixels with residuals greater than
3
. Detection threshold may be lowered down to 2.5
when searching for faint objects. Limits of the object are searched for
in the processed column and in the following ones, then a detection window
is defined surrounding the object. A security margin of 2 pixels
in each direction was added between the edges of the object and
the limits of the window, in order to ensure that the whole object is
contained in the window. True local sidereal time
(equal to the apparent right ascension when the object is on the
meridian) and an approximation of the apparent declination of the
centre of the window are known and compared with the apparent
positions of the stars in a reference catalogue. If
there is agreement to within
3 pixels, the object is identified
with the star giving the best agreement. If not, a temporary
identification is given.
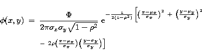
The search for the photocentre of the object is made by using a
two-dimensional Gaussian flux distribution:
| ![\begin{eqnarray}
\phi(x,y) & = & \frac{\Phi}{2\pi\sigma_{x}\sigma_{y}\sqrt{1-\rh...
...a_{x}}\right)
\left(\frac{y-\sigma_{y}}{\sigma_{y}}\right)\right]}\end{eqnarray}](/articles/aas/full/1999/01/ds7937/img15.gif) |
|
| |
| (1) |
where
is the total flux of the object,
is
the centre of the Gaussian,
and
are the
standard deviations in x and y of the Gaussian and
is the
correlation coefficient between the two dimensions of the Gaussian.
Equation (1), when written for each pixel of the object,
leads to a non linear system which has to be solved. That is why for each pixel
(i,j) a linearization is made:
|  |
|
| |
| (2) |
where
is the flux received by pixel (i,j),
is the corresponding flux calculated by formula
(1), and
are the unknowns of
the system. This system is solved by least-squares and by successive
approximations. This means that the barycentre of the image is
first calculated and then used as initial conditions for fitting a
circular Gaussian (i.e.
and
).
If the circular Gaussian converges, fit of a non-circular Gaussian is
attempted. If the non-circular Gaussian does not converge, the assumed
flux distribution is the one given by the circular Gaussian. If the
circular Gaussian did not converge, the photocentre is assumed to be the
barycentre of the image.
 |
Figure 3:
Undersampling case: surfaces S1 and S2 are
clearly different. So here, the difference between the flux received on the
pixel (surfaces S+S1) and the corresponding flux given by the
Gaussian (surfaces S+S2) is certainly significant |
In most cases, the system is undersampled, that is to say, the size of
the pixel (1.65 or 1.51'') is too large as compared with the standard
deviation of the Gaussian (about 0.7 pixel in good conditions).
In these cases, the difference between the received flux on a pixel
and the corresponding flux given by the Gaussian for this pixel is
significant (Fig. 3). This phenomenon leads to a bias
in the determination of the photocentre of the star which depends on
the position of the photocentre with respect to the pixel.
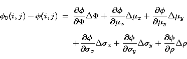
To solve this problem, a more exacting calculation was made,
by replacing in formula (2)
with
, with:

wherein
is given by formula (1). In order to
simplify the calculation of
, a Taylor series expansion of
to the 2
order in x and y was made in the vicinity of
(i,j), with the condition {
,
}. In
this expansion, terms depending on
are considered to be negligible. The
result is:

with:

which is equivalent to applying a correction to
.
Another solution to the problem of undersampling, which may be
combined with the preceding solution, is to defocus star
images, leading to a larger FWHM (full width at half maximum) of the
Gaussian, as Stone et al. (1996) did on the Flagstaff Astrometric Scanning
Transit Telescope.
Dynamical range for the CCD receptor is about 7 mag. For bright objects
(
8.5 in most cases), some pixels of the object are
saturated. These pixels are not used for fitting the Gaussian, in
order to avoid as far as possible any loss in precision on the
determination of the photocentre and any bias on the measurement of the
flux of these objects.
On the other hand, if multiple objects have been detected (i.e.
several maxima appear in the square of pixels surrounding the main image),
several Gaussians are fitted simultaneously in order to enable
the position and the flux of each object to be measured
independently, when separation between the objects is larger than 5''.
In drift scan mode, the rate of motion of electric charges in
the detector is matched with the mean rate of transit of the star image in
the field. The differential transit rate of the star image
between the top and the bottom of the CCD detector increases with
declination. In the case of large declinations (positive or negative),
some limitations appear because the differential transit rate between
the centre and the borders of the field is too high. Another problem is
the fact that the star in front of the detector follows a
curved path (due to the curvature of the parallel, which increases with
declination). In the case of large declinations, both problems result in
distorsion of the star's image and loss of precision in its measurement,
which is greater if the star is near the borders of the field.
Accordingly, stars for which the elongation of their image along the
x axis is greater than
(where
is the standard
deviation of the star measurement) cannot be used for reduction and
are rejected. With the 1024
1024 detector, the problem becomes
significant for declinations above about
. At
,
about 50% of the field is rejected. At Valinhos, this problem
is less critical because the size of the detector is twice as small.
In all cases, declinations above
are out of reach
because of electronic limitations.
Up: The Bordeaux and Valinhos
Copyright The European Southern Observatory (ESO)