Table 1 (click here) lists the observed values of polarization in the three continuum filters along with the apertures used and the phases at which the observations were carried out. The heliocentric and geocentric distances at the time of observation are also given. There are six observing runs before perihelion passage (1st April 1997) and seven during the post-perihelion period.
The observations are mostly made with an aperture of 26.5 arcsec diameter.
However the Earth-Comet distance being different for different observations,
sampled area of the comet is different. This might cause some change in the
degree of polarization. The inner coma region of comets has been found to
be quite heterogeneous in spatial distribution of polarization by various
researchers (Renard et al. 1996). In the case of Halley
phase curves for the inner coma (radius
5000 km) and the
outer region (radius
10000 km) appear different
(Dollfus et al. 1988). This maybe due to either a difference in
the microtexture of the dust grains (Dollfus 1989) or a difference
in dust size distribution. But in the case of Halley, a fair degree of
agreement was noticed among all the observers, as long as the polarization
was estimated over the whole coma with a large aperture (which averages out
the effect of the heterogeneity of the inner coma) aimed at the photometric
center. In all our observations the linear scale sampled on the comet is
greater than
13000 km radius which is much larger than
the inner coma region. In order to check the polarization behaviour with
respect to the area sampled on the comet, we observed the comet through two
different apertures on 1st March 1997 (cf. Table 1 (click here)). We note that
within the errors of observation there is no significant difference for the
two apertures. The linear scales corresponding to apertures of 26.5 and 52.4
arcsec are respectively 14318 and 28313 km radius. This means
that the comparison of polarization observations on different dates is
meaningful as long as the sampled linear size is in the range 14000 to
28000 km radius. On the other hand, during the October, November,
1996 observations the area sampled is much larger (linear scale >
55000 km radius) and light from the tail region also contributes to
the observed polarization. During these (October, November, '96)
observations, the phase angles are between
and the
observed polarization is found to have the position angle parallel to the
plane of scattering i.e. the polarization is negative. The comet being
fainter during this period, the observed errors in polarization measurements
are large, especially in the u-band (3650 Å) observations. In the other
two continuum bands, the S/N ratio is better than three and therefore the
numbers are significant. The polarization values measured on November 1 and
November 2, 1996 differ significantly though the phase angles and comet
distances from Sun and Earth are nearly same. This could be due to
different levels of activity on the above two dates.
| UT date | r | phase | Aperture | Wavelength | Polarization | |||
| AU | AU | deg | arcsec(dia.) | Å | %P | |||
| 1996 October 16.64 | 2.70 | 3.04 | 18.8 | 52.4 | 3650 | -3.11 | 2.40 | 78 |
| 52.4 | 4845 | -3.13 | 0.85 | 105 | ||||
| 52.4 | 6840 | -3.85 | 1.16 | 102 | ||||
| 1996 November 1.60 | 2.52 | 3.05 | 17.2 | 52.4 | 3650 | -2.69 | 2.17 | 119 |
| 52.4 | 4845 | -1.26 | 0.27 | 70 | ||||
| 52.4 | 6840 | -2.01 | 0.22 | 81 | ||||
| 1996 November 2.6 | 2.50 | 3.05 | 17.1 | 52.4 | 4845 | -0.55 | 0.37 | 48 |
| 52.4 | 6840 | -1.12 | 0.27 | 68 | ||||
| 1997 February 13.02 | 1.23 | 1.77 | 32.6 | 26.5 | 3650 | 3.94 | 0.25 | 60 |
| 26.5 | 4845 | 4.40 | 0.07 | 53 | ||||
| 26.5 | 6840 | 5.67 | 0.08 | 53 | ||||
| 1997 February 28.02 | 1.08 | 1.50 | 41.1 | 26.5 | 3650 | 7.87 | 0.11 | 61 |
| 26.5 | 4845 | 9.33 | 0.04 | 62 | ||||
| 26.5 | 6840 | 12.16 | 0.04 | 63 | ||||
| 1997 March 1.01 | 1.07 | 1.49 | 41.7 | 26.5 | 3650 | 7.83 | 0.28 | 58 |
| 26.5 | 4845 | 9.43 | 0.07 | 59 | ||||
| 26.5 | 6840 | 11.63 | 0.05 | 59 | ||||
| 52.4 | 3650 | 8.08 | 0.10 | 60 | ||||
| 52.4 | 4845 | 9.57 | 0.05 | 60 | ||||
| 52.4 | 6840 | 11.73 | 0.07 | 60 | ||||
| 1997 April 2.59 | 0.91 | 1.36 | 47.0 | 26.5 | 3650 | 10.82 | 0.30 | 120 |
| 26.5 | 4845 | 12.20 | 0.06 | 116 | ||||
| 26.5 | 6840 | 14.63 | 0.04 | 110 | ||||
| 1997 April 3.62 | 0.92 | 1.37 | 46.6 | 26.5 | 3650 | 10.84 | 0.50 | 121 |
| 26.5 | 4845 | 12.22 | 0.03 | 120 | ||||
| 26.5 | 6840 | 14.56 | 0.10 | 119 | ||||
| 1997 April 4.59 | 0.92 | 1.38 | 46.2 | 26.5 | 3650 | 10.38 | 0.20 | 127 |
| 26.5 | 4845 | 11.86 | 0.05 | 121 | ||||
| 26.5 | 6840 | 14.15 | 0.06 | 121 | ||||
| 1997 April 10.61 | 0.93 | 1.44 | 43.1 | 26.5 | 3650 | 8.82 | 0.13 | 133 |
| 26.5 | 4845 | 10.24 | 0.04 | 132 | ||||
| 26.5 | 6840 | 12.27 | 0.06 | 131 | ||||
| 1997 April 28.6 | 1.03 | 1.72 | 31.4 | 26.5 | 3650 | 4.50 | 0.25 | 165 |
| 26.5 | 4845 | 4.50 | 0.05 | 168 | ||||
| 26.5 | 6840 | 5.67 | 0.07 | 161 | ||||
| 1997 April 29.6 | 1.04 | 1.74 | 30.8 | 26.5 | 3650 | 3.15 | 0.40 | 167 |
| 26.5 | 4845 | 3.98 | 0.09 | 164 | ||||
| 26.5 | 6840 | 5.05 | 0.09 | 166 | ||||
| 1997 May 4.6 | 1.08 | 1.83 | 27.7 | 26.5 | 3650 | 2.30 | 1.00 | 144 |
| 26.5 | 4845 | 2.73 | 0.10 | 165 | ||||
| 26.5 | 6840 | 3.75 | 0.10 | 160 |
In Fig. 1 (click here), we have shown the observed polarization for
all the three wavelengths as a function of the phase at the time of
observation. The solid line is a theoretical curve adopted from Sen
et al. (1991b) for refractive index and dust distribution estimated
for Halley's comet. It is clear from the figure that there is a significant
deviation between the observed polarization values of Comet Hale-Bopp and
the phase curves for Halley, especially at the larger phase angles. On the
basis of their study of observations of various comets,
Levasseur-Regourd et al. (1996) have suggested the existence of
two classes of comets: low polarization and high polarization classes.
Comparing our observations with Figs. 3a and 3b of their paper, it is
evident that at phase angles above 30
the polarization observed in
Comet Hale-Bopp is the highest observed till now. If the classification
suggested by Levasseur-Regourd et al. (1996), is applied, the
comet Hale-Bopp will belong to high polarization class of comets.

Figure 1: The observed percentage polarization as a function of
phase angle for the three continuum bands. Filled circles represent the
data for Comet Hale-Bopp, open triangles and open squares are for comet
Halley, taken from two sources: Sen et al. (1991b) and
Kikuchi et al. (1987) respectively. The solid line is
the best fit model curve for Halley data (Sen et al.
1991b). Dotted curve is a polynomial fit to the present data
A polynomial fit to the observed data (with the boundary conditions of zero
polarization at 0
and 180
phase angles) gives the values of the
inversion angle and the slope at inversion and these are listed in
Table 2 (click here) for the three continuum wave bands.
The values of the slope at inversion, h, for the 3650 Å and
4845 Å wavelengths obtained for this comet are close to those for Halley
(
Å) while for the 6840 Å wavelength the slope for this
comet is clearly larger. The parameter h is a direct indicator of the
albedo (see Fig. 1 in Dollfus 1989). The albedo of the dust
grains in this comet is similar to that of Halley for the shorter
wavelengths. The albedo is very low i.e. the comet grains are dark. The
total brightness of the comet Hale-Bopp was far below the expected
brightness - the presence of darker dust grains may be one of the reasons.
The inversion angle is related to the fluffiness of the dust grains -
fluffier the particle, larger the phase angle at which inversion occurs. In
the present case the inversion angle is found to be dependent on the
wavelength. This may be due to the fluffy nature of the grains.
| Wavelength | Inversion angle | Slope at inversion | |
| in Å | @(phase) | V0 | h |
| 3650 | -2.1% | 23.6 | 0.29%/ |
| 4845 | -1.8% | 21.7 | 0.28%/ |
| 6840 | -2.2% | 21.5 | 0.35%/ |
|
|
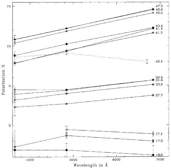
Figure 2 (click here) displays the wavelength dependence of polarization at different phase angles. Shown with a dotted line is the wavelength dependence of Comet Halley (Kikuchi et al. 1987) for one phase angle. This figure shows that continuum polarization in Comet Hale-Bopp has a very strong wavelength dependence. The degree of polarization increases with increasing wavelength which is a marked difference from Comet Halley whose wavelength dependence is more flatter. This wavelength dependence is found to increase with increasing phase angles. This is expected for smaller (compared to Halley) sized dust grains.

Figure 2: Wavelength dependence of polarization for Comet Hale-Bopp,
as observed at different phases; Phase angles are mentioned adjacent to the
respective curves. Comet Halley data (Kikuchi et al.
1987) for one phase (46.1) close to observations of Hale-Bopp at
phase 46.2 is also plotted in the figure (dotted line)