next previous
Up: Optical photometry of the II


Subsections

3 Galaxy photometry

3.1 Data reduction

Standard reduction procedures for CCD photometry were applied. Once raw images were bias subtracted and flat-field corrected, cosmic rays were removed. The dark current was found to be negligible for all the cameras. During each night at least 10 bias images were obtained; in all cases they were very stable, so for each run we combined all of them to get an averaged bias that we subtracted to each image. We also took at least eight dome-flats that we combined and corrected from illumination failure with a combined sky-flat of at least six images. Finally cosmic rays were removed using the CR_UTILS IRAF[*] package that replaced the values of the affected pixels by an interpolation of the surrounding pixels in an annulus. Foreground stars near the objects were also masked using a similar procedure.

3.2 Flux calibration

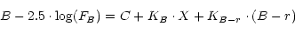
Integrated photometry was performed using the APPHOT IRAF package, mainly the polyphot and phot tasks. Standard Landolt ([1992]) stars observed during each night under different airmasses were used for calibration. They were measured with different apertures using the phot task. The curve of growth of each star was built following the algorithm found in Stetson ([1990]). A least-square method was used to get the following transformation equations:

\begin{displaymath}B-2.5\cdot \log(F_{B})=C+K_{B}\cdot X+
K_{B-r}\cdot (B-r) \end{displaymath} (1)

where B is the Johnson B apparent magnitude, FB is the flux in counts ${\rm s}^{-1}$, C is the instrumental constant, KB the extinction, X the airmass, and KB-r the colour constant referred to the Johnson B-Gunn r colour (we already had Gunn r magnitudes of the galaxies).

Whereas our sample of galaxies was observed in the Gunn r filter, photometric star data from Landolt ([1992]) refer to the Cousins system. Therefore, we have corrected the colours included in the Bouguer fit with an averaged $r-R_{\rm C}=0.37$ (Fukugita et al. [1995]).

The errors of the galaxy magnitudes due to the Bouguer fit were calculated for each object with the covariance matrix of the least-square fit according to the expression:

\begin{displaymath}\Delta m_{\rm Bouguer} =
t_{1\%}\cdot \sigma_{\rm lsf}\cdot
\sqrt{X^{\dagger}\cdot A^{-1}\cdot X} \end{displaymath} (2)

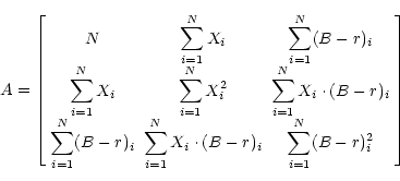
where $t_{1\%}$ is the value of the t distribution with $N_{\rm stars}-4$ degrees of freedom, and ${\sigma}_{\rm lsf}$ is an unbiased estimation of the standard deviation of the least-square fit. The variance-covariance matrix of the least-square fit, A, the column and line matrixes X and $X^{\dagger}$ for each object are defined as:

\begin{displaymath}A=\left[\begin{array}{ccc} N &
{\displaystyle \sum_{i=1}^{N}...
...\displaystyle\sum_{i=1}^{N} (B-r)_{i}^{2}} \end{array} \right] \end{displaymath} (3)


\begin{displaymath}X=\left(\begin{array}{c} 1 \\ X \\ B-r \end{array} \right) \h...
...er}=\left(\begin{array}{ccc} 1 & X & B-r
\end{array} \right). \end{displaymath} (4)

The transformation equations for each night are listed in Table 2.
 
Table 2: Instrument features and photometric transformations for each night
Telescope Date CCD RN Gain Scale C KB KB-r
      (e-) (e-/ADU) ( $\hbox{$^{\prime\prime}$ }$/pix)      
(1) (2) (3) (4) (5) (6) (7) (8) (9)
JKT Nov. 27, 1997 TEK#4 4.10 1.63 0.30 23.00 $\pm$ 0.03 -0.22 $\pm$ 0.02 0.03 $\pm$ 0.01
JKT Dec. 01, 1997 TEK#4 4.10 1.63 0.30 23.01 $\pm$ 0.07 -0.24 $\pm$ 0.05 0.02 $\pm$ 0.01
JKT Dec. 02, 1997 TEK#4 4.10 1.63 0.30 22.78 $\pm$ 0.08 -0.12 $\pm$ 0.06 0.01 $\pm$ 0.02
1.52 m Jun. 18, 1998 TEK1024 6.38 6.55 0.40 21.45 $\pm$ 0.03 -0.33 $\pm$ 0.02 0.09 $\pm$ 0.01
1.52 m Jun. 19, 1998 TEK1024 6.38 6.55 0.40 21.40 $\pm$ 0.06 -0.27 $\pm$ 0.04 0.09 $\pm$ 0.01
1.23 m Oct. 28, 1998 TEK7c_12 5.52 0.80 0.50 22.28 $\pm$ 0.02 -0.21 $\pm$ 0.01 0.08 $\pm$ 0.01
1.52 m Jun. 10, 1999 TEK1024 6.38 6.55 0.40 21.80 $\pm$ 0.14 -0.36 $\pm$ 0.10 0.10 $\pm$ 0.03
1.23 m Jun. 16, 1999 LORAL#11 8.50 1.70 0.31 22.95 $\pm$ 0.06 -0.27 $\pm$ 0.04 0.04 $\pm$ 0.01
1.23 m Jun. 17, 1999 SITe#18 5.20 2.60 0.50 22.03 $\pm$ 0.03 -0.19 $\pm$ 0.02 0.05 $\pm$ 0.01
1.23 m Jun. 19, 1999 TEK#13 5.10 0.60 0.50 22.81 $\pm$ 0.04 -0.25 $\pm$ 0.03 0.09 $\pm$ 0.01
1.23 m Jun. 20, 1999 TEK#13 5.10 0.60 0.50 22.84 $\pm$ 0.05 -0.25 $\pm$ 0.03 0.07 $\pm$ 0.01
JKT Jul. 12, 1999 TEK#5 4.82 1.53 0.30 23.09 $\pm$ 0.03 -0.50 $\pm$ 0.02 0.04 $\pm$ 0.01
JKT Jul. 13, 1999 TEK#5 4.82 1.53 0.30 22.77 $\pm$ 0.05 -0.21 $\pm$ 0.04 0.03 $\pm$ 0.01
JKT Jul. 15, 1999 TEK#5 4.82 1.53 0.30 22.81 $\pm$ 0.02 -0.24 $\pm$ 0.01 0.07 $\pm$ 0.01
JKT Jul. 16, 1999 TEK#5 4.82 1.53 0.30 22.75 $\pm$ 0.03 -0.25 $\pm$ 0.03 0.07 $\pm$ 0.01
JKT Jul. 17, 1999 TEK#5 4.82 1.53 0.30 22.75 $\pm$ 0.01 -0.20 $\pm$ 0.01 0.06 $\pm$ 0.01
JKT Jul. 18, 1999 TEK#5 4.82 1.53 0.30 22.85 $\pm$ 0.05 -0.27 $\pm$ 0.04 0.06 $\pm$ 0.01

Table 2: (1) Telescope name. JKT stands for the Jacobus Kapteyn Telescope in La Palma (Spain); 1.52 m for the Spanish Telescope in Calar Alto, Almería (Spain); 1.23 m refers to the telescope at the German-Spanish Observatory in Calar Alto. (2) Date of the observation. (3) CCD detector used. (4) Readout noise of the CCD in electrons. (5) Gain of the CCD in electrons per ADU. (6) Scale of the chip in arcsec per pixel. (7) Instrumental constant of the photometric calibration for each night using Landolt ([1992]) stars. (8) Extinction in the Johnson B band. (9) Colour term of the Bouguer fit refered to the B-r colour (Johnson B and Gunn r).

3.3 Galaxy integrated photometry

Many galaxies were found to be very irregular in shape, being very difficult to apply the standard circular apertures. We decided to measure fluxes using the IRAF task polyphot. This task allowed us to build polygons around the galaxies including the whole object and minimizing the area of sky also included. At least two polygons were used in three different positions (securing a minimum of six measures) to avoid errors due to the specific shape of the polygon. The sky was determined as an average of at least 8 measures with a circular aperture around the object.

The errors were calculated as follows. Each flux measurement included an error due to Poisson noise, the uncertainty in the sky determination, and the readout noise of the CCD. This error, in magnitude representation, is described by the expression:

\begin{displaymath}\Delta m_{i} =
1.0857\cdot\frac{\sqrt{\frac{F}{G} +
{\rm Ar...
...c{{\rm Area}^{2}\cdot\sigma_{\rm sky}^{2}}{N_{\rm sky}}}} {F}
\end{displaymath} (5)

where F is the flux in counts s-1, G is the CCD gain in counts ${\rm e}^{-1}$, Area is the area in pixels enclosed by the polygon, $\sigma_{\rm sky}$ is the standard deviation of the sky measure and $N_{\rm sky}$ is the number of pixels of the sky measure. The first term of the sum inside the square root is the Poisson noise (square root of the number of electrons counted), the second term refers to the uncertainty in the determination of the sky level, and the third is related to the effects of flatfield errors in the sky determination. Several polygon measures were taken to assure a good magnitude determination. The final associated error was chosen to be the greatest among all the associated to each polygon and the standard deviation of all the polygon measures:


\begin{displaymath}\Delta m_{\rm Flux} \: = \: \max(\Delta m_{i}).
\end{displaymath} (6)

Finally the Bouguer line errors were also taken in consideration, yielding a final expression for the magnitude error:

\begin{displaymath}\Delta m_{B} =\sqrt{(\Delta
m_{\rm Bouguer})^{2} + (\Delta m_{\rm Flux})^{2} }.
\end{displaymath} (7)

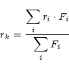
Apparent total B magnitudes, as measured with this method, are listed in Table 3. We have also calculated the B magnitudes inside the 24 mag arcsec-2 isophote (B24), and the total magnitudes using the Kron ([1980]) radius defined as:


\begin{displaymath}r_k=\frac{\displaystyle \sum_{i}
r_i\cdot F_i}{\displaystyle \sum_{i} F_i}
\end{displaymath} (8)

where i runs from the center to the aperture which has an isophotal level corresponding to the standard deviation of the sky. A second set of total magnitudes were measured within an aperture of radius $2\cdot r_k$ applying this method. In average, Kron magnitudes were 0.02$^{\rm m}$ fainter than the polygonal ones; the absolute differences ranged from 0.00 to 0.47 magnitudes. The highest differences were always due to the presence of field stars inside the Kron aperture or flux contamination from nearby objects, which have been previously deleted interactively using the CR_UTILS IRAF package.

The apparent magnitudes were converted into absolute magnitudes using the redshifts listed in Table 1. The standard galactic extinction correction was applied using the Burstein & Heiles ([1982]) maps. Because the Balmer decrements are also available for most of the objects (Gallego et al. [1996]), we provide these values in Table 1 to allow the correction from total extinction (Galactic and internal) through the B-V colour excess.

3.4 Effective radii and colours

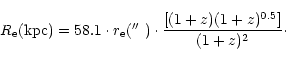
The effective radius (defined as the radius that contains half of the total light) in the B images was measured in two different ways. First, an equivalent half light radius in arcsec was calculated as the geometric mean of the major and minor semi-axes of the elliptical isophote containing half of the galaxy flux (i.e., $B_{\rm T}+0.75$ magnitudes); this half-light radius $r_{1/2}(\hbox{$^{\prime\prime}$ })$ is tabulated in Col. (5) of Table 3. We also measured the flux of the galaxy inside circular apertures and selected the one containing half of the light. These radii were transformed into effective radius in kpc ($R_{\rm e}$, Col. (4) of Table 3) with the formula:


\begin{displaymath}R_{\rm e}{\rm (kpc)}=58.1\cdot r_{\rm e}(\hbox{$^{\prime\prime}$ }) \cdot
\frac{[(1+z) (1+z)^{0.5}]} {(1+z)^2}\cdot \end{displaymath} (9)

B-r colours have also been calculated. We first aligned the Johnson B images with the original Gunn r images from Vitores et al. ([1996a]). Permitted modifications were rotation, scaling and shift. We measured the aperture colour inside the 24 mag arcsec-2 Johnson B isophote. Then we also obtained the colour inside the isophote of radius the effective radius (as measured in the B band). Again, the Galactic extinction correction was performed using the Burstein & Heiles ([1982]) maps. Conversion constants are 3.98 in B and 2.51 in r; both values were interpolated from Fitzpatrick ([1999]).

In Table 3 we summarize all these results: apparent total and B24 magnitudes in Cols. (2) and (3); effective radius in kpc and arcsec in Cols. (4) and (5) respectively; absolute B magnitudes corrected from Galactic extinction in Col. (6) and effective and isophote 24 mag arcsec-2 B-r colours in Cols. (7) and (8). Colour information is only available for those galaxies with Gunn r magnitude measured by Vitores et al. ([1996a]).


 
Table 3: Photometry results in the B and r bandpass for the UCM survey
UCM name $(m_{B})_{\rm T}$ (mB)24 $R_{\rm e}$(kpc) $r_{1/2}(\hbox{$^{\prime\prime}$ })$ MB $(B-r)_{\rm ef}$ (B-r)24
(1) (2) (3) (4) (5) (6) (7) (8)
0000+2140 14.50 $\pm$ 0.04 14.82 $\pm$ 0.06 4.9 7.6 -21.41 $\pm$ 0.05 - -
0003+2200 17.64 $\pm$ 0.05 17.81 $\pm$ 0.10 2.1 5.3 -18.16 $\pm$ 0.07 1.37$\pm$ 0.11 1.37 $\pm$ 0.14
0003+2215 16.63 $\pm$ 0.05 16.98 $\pm$ 0.08 4.5 9.6 -19.15 $\pm$ 0.06 - -
0003+1955 14.09 $\pm$ 0.04 14.12 $\pm$ 0.07 0.8 1.0 -22.14 $\pm$ 0.06 - -
0005+1802 16.32 $\pm$ 0.06 16.52 $\pm$ 0.08 2.1 3.8 -19.03 $\pm$ 0.08 - -
0006+2332 14.92 $\pm$ 0.02 15.11 $\pm$ 0.05 4.1 8.5 -20.18 $\pm$ 0.05 - -
0013+1942 17.11 $\pm$ 0.06 17.32 $\pm$ 0.08 2.0 2.7 -19.04 $\pm$ 0.07 -0.06 $\pm$ 0.06 0.52 $\pm$ 0.09
0014+1829 16.09 $\pm$ 0.10 16.31 $\pm$ 0.08 1.6 3.2 -19.21 $\pm$ 0.11 0.55 $\pm$ 0.12 0.58 $\pm$ 0.13
0014+1748 14.87 $\pm$ 0.03 15.21 $\pm$ 0.06 7.9 13.6 -20.41 $\pm$ 0.05 1.15 $\pm$ 0.10 1.06 $\pm$ 0.12
0015+2212 16.54 $\pm$ 0.04 16.83 $\pm$ 0.07 1.3 2.6 -18.97 $\pm$ 0.06 0.53 $\pm$ 0.33 0.84 $\pm$ 0.34
0017+1942 15.83 $\pm$ 0.04 15.97 $\pm$ 0.06 4.3 4.5 -20.39 $\pm$ 0.05 0.53 $\pm$ 0.11 0.52 $\pm$ 0.12
0017+2148 16.69 $\pm$ 0.05 17.07 $\pm$ 0.09 1.1 2.7 -18.74 $\pm$ 0.07 - -
0018+2216 16.83 $\pm$ 0.01 16.91 $\pm$ 0.03 1.1 2.2 -18.34 $\pm$ 0.05 0.56 $\pm$ 0.03 0.79 $\pm$ 0.05
0018+2218 15.80 $\pm$ 0.03 16.24 $\pm$ 0.04 6.2 13.1 -19.95 $\pm$ 0.05   -
0019+2201 16.47 $\pm$ 0.03 16.87 $\pm$ 0.05 2.5 4.5 -18.97 $\pm$ 0.05 1.11 $\pm$ 0.33 1.08 $\pm$ 0.34
0022+2049 15.62 $\pm$ 0.02 15.76 $\pm$ 0.06 2.3 4.1 -19.73 $\pm$ 0.05 1.16 $\pm$ 0.10 1.16 $\pm$ 0.11
0023+1908 16.78 $\pm$ 0.04 16.89 $\pm$ 0.18 1.5 2.2 -19.23 $\pm$ 0.05 - -
0034+2119 15.80 $\pm$ 0.04 16.09 $\pm$ 0.08 5.3 5.5 -20.66 $\pm$ 0.06 - -
0037+2226 14.57 $\pm$ 0.02 14.71 $\pm$ 0.07 4.9 9.8 -20.95 $\pm$ 0.05 - -
0038+2259 16.15 $\pm$ 0.04 16.32 $\pm$ 0.06 7.5 5.5 -21.14 $\pm$ 0.05 1.28 $\pm$ 0.10 1.25 $\pm$ 0.11
0039+0054 14.91 $\pm$ 0.09 15.29 $\pm$ 0.08 6.7 15.6 -20.40 $\pm$ 0.10 - -
0040+0257 16.84 $\pm$ 0.05 17.02 $\pm$ 0.13 2.3 2.1 -19.95 $\pm$ 0.06 -0.25 $\pm$ 0.03 0.10 $\pm$ 0.13
0040+2312 15.59 $\pm$ 0.03 15.96 $\pm$ 0.05 6.8 7.6 -20.38 $\pm$ 0.05 - -
0040+0220 17.07 $\pm$ 0.02 17.21 $\pm$ 0.07 1.0 2.0 -18.04 $\pm$ 0.05 0.44 $\pm$ 0.10 0.67 $\pm$ 0.12
0040-0023 13.64 $\pm$ 0.02 13.87 $\pm$ 0.03 5.8 14.9 -21.04 $\pm$ 0.06 - -
0041+0134 14.31 $\pm$ 0.02 14.63 $\pm$ 0.05 9.9 21.0 -20.76 $\pm$ 0.05 - -
0043+0245 17.24 $\pm$ 0.09 17.36 $\pm$ 0.14 1.0 2.0 -18.03 $\pm$ 0.10 - -
0043-0159 13.05 $\pm$ 0.01 13.09 $\pm$ 0.07 8.1 17.1 -21.94 $\pm$ 0.05 - -
0044+2246 15.97 $\pm$ 0.02 16.26 $\pm$ 0.06 5.7 7.3 -20.04 $\pm$ 0.05 1.20 $\pm$ 0.15 1.08 $\pm$ 0.16
0045+2206 14.97 $\pm$ 0.03 15.08 $\pm$ 0.06 1.9 3.9 -20.53 $\pm$ 0.05 - -
0047+2051 16.86 $\pm$ 0.02 16.91 $\pm$ 0.08 4.0 2.9 -20.94 $\pm$ 0.04 0.60 $\pm$ 0.10 0.77 $\pm$ 0.12
0047-0213 15.53 $\pm$ 0.03 15.71 $\pm$ 0.09 1.4 3.8 -19.32 $\pm$ 0.06 0.49 $\pm$ 0.03 0.67 $\pm$ 0.10
0047+2413 15.72 $\pm$ 0.03 15.96 $\pm$ 0.09 7.3 6.7 -20.99 $\pm$ 0.05 1.07 $\pm$ 0.05 1.02 $\pm$ 0.10
0047+2414 15.21 $\pm$ 0.03 15.28 $\pm$ 0.07 5.1 4.9 -21.50 $\pm$ 0.05 - -
0049-0006 18.24 $\pm$ 0.13 18.77 $\pm$ 0.13 1.9 1.7 -18.60 $\pm$ 0.14 0.01 $\pm$ 0.17$^\dagger$ -
0049+0017 16.97 $\pm$ 0.02 17.38 $\pm$ 0.07 1.4 3.7 -17.71 $\pm$ 0.06 -0.33 $\pm$ 0.04 0.16 $\pm$ 0.08
0049-0045 15.21 $\pm$ 0.01 15.39 $\pm$ 0.05 0.7 5.7 -17.23 $\pm$ 0.14 - -
0050+0005 16.26 $\pm$ 0.02 16.46 $\pm$ 0.06 2.9 3.0 -20.40 $\pm$ 0.04 0.44 $\pm$ 0.05 0.50 $\pm$ 0.07
0050+2114 15.53 $\pm$ 0.06 - - - -20.41 $\pm$ 0.07 0.83 $\pm$ 0.33$^\dagger$ -
0051+2430 15.19 $\pm$ 0.04 15.34 $\pm$ 0.05 3.8 8.5 -19.99 $\pm$ 0.07 - -
0054-0133 15.74 $\pm$ 0.05 16.09 $\pm$ 0.11 7.2 5.7 -21.87 $\pm$ 0.06 - -
0054+2337 15.19 $\pm$ 0.02 15.50 $\pm$ 0.05 3.8 8.7 -19.94 $\pm$ 0.06 - -
0056+0044 16.60 $\pm$ 0.05 17.32 $\pm$ 0.11 3.7 10.7 -18.67 $\pm$ 0.07 0.28 $\pm$ 0.08 0.26 $\pm$ 0.11
0056+0043 16.56 $\pm$ 0.03 16.64 $\pm$ 0.08 1.3 2.3 -18.78 $\pm$ 0.05 0.26 $\pm$ 0.03 0.42 $\pm$ 0.09
0119+2156 16.59 $\pm$ 0.05 16.82 $\pm$ 0.09 9.6 5.3 -21.32 $\pm$ 0.06 1.26 $\pm$ 0.05 1.13 $\pm$ 0.10
0121+2137 15.81 $\pm$ 0.09 15.98 $\pm$ 0.23 8.5 9.8 -20.93 $\pm$ 0.10 0.51 $\pm$ 0.04 0.40 $\pm$ 0.23
0129+2109 15.11 $\pm$ 0.03 15.22 $\pm$ 0.07 8.3 10.1 -21.66 $\pm$ 0.05 - -
0134+2257 15.89 $\pm$ 0.05 16.26 $\pm$ 0.07 6.9 7.3 -21.14 $\pm$ 0.06 - -
0135+2242 16.79 $\pm$ 0.04 17.21 $\pm$ 0.10 2.4 3.0 -20.33 $\pm$ 0.05 0.67 $\pm$ 0.04 0.74 $\pm$ 0.11
0138+2216 17.58 $\pm$ 0.02 17.82 $\pm$ 0.06 3.9 2.3 -20.62 $\pm$ 0.04 - -
0141+2220 16.26 $\pm$ 0.04 16.36 $\pm$ 0.09 1.7 3.0 -19.18 $\pm$ 0.06 0.39 $\pm$ 0.09 0.37 $\pm$ 0.13
0142+2137 15.39 $\pm$ 0.05 15.66 $\pm$ 0.07 9.4 9.9 -21.59 $\pm$ 0.06 1.20 $\pm$ 0.10 1.11 $\pm$ 0.12
0144+2519 15.64 $\pm$ 0.03 15.89 $\pm$ 0.09 9.6 10.7 -21.79 $\pm$ 0.05 0.77 $\pm$ 0.10 0.67 $\pm$ 0.13
0147+2309 16.72 $\pm$ 0.05 16.94 $\pm$ 0.08 1.9 3.4 -18.91 $\pm$ 0.07 0.75 $\pm$ 0.10 0.79 $\pm$ 0.13
0148+2124 16.88 $\pm$ 0.06 17.28 $\pm$ 0.10 1.2 3.2 -18.40 $\pm$ 0.08 0.39 $\pm$ 0.11 0.62 $\pm$ 0.14
0150+2032 16.66 $\pm$ 0.05 16.99 $\pm$ 0.12 6.3 8.7 -19.98 $\pm$ 0.07 0.60 $\pm$ 0.15 0.58 $\pm$ 0.16
0156+2410 15.16 $\pm$ 0.03 15.33 $\pm$ 0.09 2.1 5.3 -19.75 $\pm$ 0.06 0.48 $\pm$ 0.03 0.53 $\pm$ 0.10
0157+2413 15.03 $\pm$ 0.04 15.16 $\pm$ 0.06 5.4 8.7 -20.44 $\pm$ 0.06 1.20 $\pm$ 0.04 1.14 $\pm$ 0.07
0157+2102 14.87 $\pm$ 0.02 14.95 $\pm$ 0.07 1.6 4.4 -19.40 $\pm$ 0.07 0.24 $\pm$ 0.03 0.33 $\pm$ 0.08
0159+2354 17.19 $\pm$ 0.07 17.41 $\pm$ 0.16 1.1 2.4 -18.20 $\pm$ 0.09 1.00 $\pm$ 0.13$^\dagger$ -
0159+2326 15.87 $\pm$ 0.02 16.01 $\pm$ 0.05 2.5 4.9 -19.56 $\pm$ 0.05 0.99 $\pm$ 0.03 1.02 $\pm$ 0.06
1246+2727 15.88 $\pm$ 0.02 15.94 $\pm$ 0.09 3.5 5.6 -19.55 $\pm$ 0.05 - -
1247+2701 16.63 $\pm$ 0.05 16.77 $\pm$ 0.06 2.3 3.4 -19.11 $\pm$ 0.07 0.49 $\pm$ 0.04 0.55 $\pm$ 0.07
1248+2912 14.87 $\pm$ 0.02 15.18 $\pm$ 0.06 5.8 10.5 -20.75 $\pm$ 0.05 - -
1253+2756 15.81 $\pm$ 0.04 15.98 $\pm$ 0.06 1.5 3.2 -19.20 $\pm$ 0.06 0.67 $\pm$ 0.10 0.68 $\pm$ 0.10
1254+2741 16.70 $\pm$ 0.07 17.20 $\pm$ 0.10 2.4 5.0 -18.40 $\pm$ 0.08 1.10 $\pm$ 0.07 1.05 $\pm$ 0.10



 
Table 3: continued
UCM name $(m_{B})_{\rm T}$ (mB)24 $R_{\rm e}$(kpc) $r_{1/2}(\hbox{$^{\prime\prime}$ })$ MB $(B-r)_{\rm ef}$ (B-r)24
(1) (2) (3) (4) (5) (6) (7) (8)
1254+2802 16.81 $\pm$ 0.03 17.00 $\pm$ 0.06 2.9 3.7 -19.15 $\pm$ 0.05 0.90 $\pm$ 0.05 0.98 $\pm$ 0.07
1255+2819 15.51 $\pm$ 0.07 16.08 $\pm$ 0.08 7.7 10.8 -20.64 $\pm$ 0.08 0.83 $\pm$ 0.14 0.77 $\pm$ 0.15
1255+3125 16.14 $\pm$ 0.08 16.41 $\pm$ 0.08 2.1 3.2 -19.86 $\pm$ 0.09 1.12 $\pm$ 0.09 1.14 $\pm$ 0.11
1255+2734 16.69 $\pm$ 0.02 16.96 $\pm$ 0.06 2.7 5.7 -19.08 $\pm$ 0.05 0.88 $\pm$ 0.20 0.85 $\pm$ 0.21
1256+2717 17.62 $\pm$ 0.07 18.13 $\pm$ 0.09 1.5 2.6 -18.48 $\pm$ 0.08 - -
1256+2732 15.95 $\pm$ 0.06 16.18 $\pm$ 0.06 2.8 4.3 -19.82 $\pm$ 0.07 0.52 $\pm$ 0.08 0.53 $\pm$ 0.09
1256+2701 16.62 $\pm$ 0.05 16.88 $\pm$ 0.08 4.7 5.6 -19.25 $\pm$ 0.07 0.44 $\pm$ 0.09 0.39 $\pm$ 0.11
1256+2910 16.22 $\pm$ 0.05 16.22 $\pm$ 0.05 4.6 4.8 -19.96 $\pm$ 0.07 0.83 $\pm$ 0.04 0.86 $\pm$ 0.06
1256+2823 15.72 $\pm$ 0.12 16.04 $\pm$ 0.15 6.0 6.3 -20.68 $\pm$ 0.12 0.90 $\pm$ 0.15 0.80 $\pm$ 0.15
1256+2754 15.37 $\pm$ 0.05 15.44 $\pm$ 0.06 2.6 5.0 -19.74 $\pm$ 0.07 0.49 $\pm$ 0.21 0.50 $\pm$ 0.21
1256+2722 17.09 $\pm$ 0.05 17.28 $\pm$ 0.10 2.4 2.7 -19.11 $\pm$ 0.06 0.64 $\pm$ 0.10 0.80 $\pm$ 0.14
1257+2808 16.14 $\pm$ 0.02 16.34 $\pm$ 0.04 1.7 3.3 -19.10 $\pm$ 0.05 0.66 $\pm$ 0.06 0.71 $\pm$ 0.08
1258+2754 15.82 $\pm$ 0.04 16.03 $\pm$ 0.06 4.1 5.6 -20.13 $\pm$ 0.06 0.42 $\pm$ 0.08 0.38 $\pm$ 0.09
1259+2934 14.21 $\pm$ 0.04 - - - -21.59 $\pm$ 0.06 0.03 $\pm$ 0.06$^\dagger$ -
1259+3011 16.21 $\pm$ 0.04 16.32 $\pm$ 0.07 1.9 2.3 -20.13 $\pm$ 0.05 0.72 $\pm$ 0.09 0.84 $\pm$ 0.11
1259+2755 15.37 $\pm$ 0.02 15.51 $\pm$ 0.05 3.2 4.4 -20.42 $\pm$ 0.05 0.84 $\pm$ 0.12 0.95 $\pm$ 0.13
1300+2907 17.07 $\pm$ 0.04 17.37 $\pm$ 0.12 1.4 2.7 -18.56 $\pm$ 0.06 0.03 $\pm$ 0.05 0.35 $\pm$ 0.13
1301+2904 15.45 $\pm$ 0.13 15.81 $\pm$ 0.14 5.8 8.0 -20.61 $\pm$ 0.13 0.48 $\pm$ 0.14 0.36 $\pm$ 0.15
1302+2853 16.22 $\pm$ 0.02 16.43 $\pm$ 0.04 2.7 4.3 -19.59 $\pm$ 0.05 0.48 $\pm$ 0.03 0.47 $\pm$ 0.05
1302+3032 16.56 $\pm$ 0.02 16.74 $\pm$ 0.05 2.3 2.7 -20.04 $\pm$ 0.04 - -
1303+2908 16.78 $\pm$ 0.03 16.99 $\pm$ 0.12 3.5 4.6 -19.24 $\pm$ 0.05 0.38 $\pm$ 0.13 0.56 $\pm$ 0.14
1304+2808 15.84 $\pm$ 0.07 16.12 $\pm$ 0.10 4.2 8.8 -19.71 $\pm$ 0.08 1.12 $\pm$ 0.12 1.04 $\pm$ 0.13
1304+2830 18.57 $\pm$ 0.05 18.69 $\pm$ 0.05 0.8 1.3 -17.05 $\pm$ 0.07 -0.08 $\pm$ 0.03 0.41 $\pm$ 0.07
1304+2907 15.12 $\pm$ 0.07 15.38 $\pm$ 0.10 5.1 12.6 -19.82 $\pm$ 0.09 0.45 $\pm$ 0.07 0.48 $\pm$ 0.10
1304+2818 15.75 $\pm$ 0.01 15.91 $\pm$ 0.04 4.5 5.9 -20.13 $\pm$ 0.04 0.81 $\pm$ 0.10 0.81 $\pm$ 0.11
1306+2938 15.27 $\pm$ 0.02 15.47 $\pm$ 0.04 2.7 4.4 -20.27 $\pm$ 0.05 0.41 $\pm$ 0.07 0.49 $\pm$ 0.08
1306+3111 16.25 $\pm$ 0.04 16.40 $\pm$ 0.09 1.7 3.5 -18.79 $\pm$ 0.06 0.97 $\pm$ 0.12 0.91 $\pm$ 0.14
1307+2910 14.04 $\pm$ 0.03 14.41 $\pm$ 0.05 9.2 17.5 -21.21 $\pm$ 0.06 1.07 $\pm$ 0.10 0.98 $\pm$ 0.11
1308+2958 15.25 $\pm$ 0.01 15.46 $\pm$ 0.03 6.8 10.3 -20.42 $\pm$ 0.04 0.88 $\pm$ 0.03 0.82 $\pm$ 0.05
1308+2950 14.83 $\pm$ 0.06 15.10 $\pm$ 0.06 10.2 13.8 -21.05 $\pm$ 0.07 1.17 $\pm$ 0.05 1.06 $\pm$ 0.07
1310+3027 16.51 $\pm$ 0.04 16.77 $\pm$ 0.06 2.6 3.7 -19.28 $\pm$ 0.06 0.90 $\pm$ 0.09 0.89 $\pm$ 0.11
1312+3040 15.49 $\pm$ 0.04 15.67 $\pm$ 0.07 2.8 4.6 -20.05 $\pm$ 0.06 0.96 $\pm$ 0.11 0.90 $\pm$ 0.12
1312+2954 16.10 $\pm$ 0.03 16.24 $\pm$ 0.06 4.4 5.6 -19.64 $\pm$ 0.05 0.90 $\pm$ 0.05 0.88 $\pm$ 0.07
1313+2938 16.68 $\pm$ 0.05 16.82 $\pm$ 0.13 1.6 1.7 -20.18 $\pm$ 0.06 0.06 $\pm$ 0.10 0.39 $\pm$ 0.16
1314+2827 16.14 $\pm$ 0.03 16.35 $\pm$ 0.06 1.9 2.8 -19.83 $\pm$ 0.05 0.07 $\pm$ 0.09 0.60 $\pm$ 0.11
1320+2727 17.41 $\pm$ 0.07 17.53 $\pm$ 0.09 1.3 1.9 -18.52 $\pm$ 0.08 -0.03 $\pm$ 0.05 0.39 $\pm$ 0.10
1324+2926 17.62 $\pm$ 0.08 18.02 $\pm$ 0.10 0.8 2.1 -17.46 $\pm$ 0.10 0.63 $\pm$ 0.11 0.89 $\pm$ 0.14
1324+2651 15.10 $\pm$ 0.06 15.20 $\pm$ 0.10 1.9 2.9 -20.79 $\pm$ 0.07 0.44 $\pm$ 0.05 0.61 $\pm$ 0.11
1331+2900 18.81 $\pm$ 0.12 19.12 $\pm$ 0.17 1.4 1.4 -17.87 $\pm$ 0.13 0.39 $\pm$ 0.11 0.50 $\pm$ 0.19
1428+2727 14.78 $\pm$ 0.02 14.91 $\pm$ 0.03 2.3 5.3 -19.98 $\pm$ 0.06 0.50 $\pm$ 0.11 0.44 $\pm$ 0.12
1429+2645 17.31 $\pm$ 0.09 17.83 $\pm$ 0.09 2.4 3.3 -19.17 $\pm$ 0.10 0.43 $\pm$ 0.08 0.64 $\pm$ 0.10
1430+2947 16.46 $\pm$ 0.06 16.91 $\pm$ 0.08 3.2 4.2 -19.76 $\pm$ 0.07 0.90 $\pm$ 0.09 0.79 $\pm$ 0.11
1431+2854 15.51 $\pm$ 0.06 15.64 $\pm$ 0.08 5.3 5.0 -20.85 $\pm$ 0.07 0.96 $\pm$ 0.13 0.81 $\pm$ 0.14
1431+2702 16.57 $\pm$ 0.07 17.12 $\pm$ 0.08 2.6 3.5 -20.28 $\pm$ 0.07 0.50 $\pm$ 0.07 0.55 $\pm$ 0.09
1431+2947 17.49 $\pm$ 0.07 18.23 $\pm$ 0.09 2.4 5.2 -18.12 $\pm$ 0.09 0.59 $\pm$ 0.10 0.55 $\pm$ 0.12
1431+2814 16.92 $\pm$ 0.03 17.05 $\pm$ 0.05 2.6 2.6 -19.51 $\pm$ 0.05 1.01 $\pm$ 0.05 1.04 $\pm$ 0.07
1432+2645 15.35 $\pm$ 0.02 15.66 $\pm$ 0.05 7.4 9.3 -21.04 $\pm$ 0.04 0.72 $\pm$ 0.07 0.74 $\pm$ 0.07
1440+2521S 16.80 $\pm$ 0.04 17.12 $\pm$ 0.04 3.3 3.7 -19.67 $\pm$ 0.05 0.74 $\pm$ 0.05 0.73 $\pm$ 0.06
1440+2511 16.37 $\pm$ 0.06 17.07 $\pm$ 0.08 6.4 8.7 -20.22 $\pm$ 0.07 0.95 $\pm$ 0.07 0.88 $\pm$ 0.09
1440+2521N 16.64 $\pm$ 0.03 16.84 $\pm$ 0.03 3.6 4.1 -19.83 $\pm$ 0.05 1.11 $\pm$ 0.05 0.97 $\pm$ 0.06
1442+2845 15.29 $\pm$ 0.02 15.49 $\pm$ 0.02 1.9 6.0 -18.81 $\pm$ 0.07 0.63 $\pm$ 0.02 0.66 $\pm$ 0.04
1443+2714 15.49 $\pm$ 0.10 15.80 $\pm$ 0.14 3.8 5.4 -20.79 $\pm$ 0.11 0.94 $\pm$ 0.15 0.78 $\pm$ 0.15
1443+2844 15.65 $\pm$ 0.02 15.73 $\pm$ 0.04 4.0 4.9 -20.51 $\pm$ 0.05 0.82 $\pm$ 0.08 0.74 $\pm$ 0.08
1443+2548 15.75 $\pm$ 0.03 15.80 $\pm$ 0.06 4.8 4.8 -20.99 $\pm$ 0.05 0.63 $\pm$ 0.04 0.57 $\pm$ 0.07
1444+2923 16.39 $\pm$ 0.03 17.13 $\pm$ 0.04 4.9 6.3 -19.76 $\pm$ 0.05 0.74 $\pm$ 0.09 0.69 $\pm$ 0.10
1452+2754 16.32 $\pm$ 0.04 16.46 $\pm$ 0.04 3.8 4.1 -20.32 $\pm$ 0.06 0.99 $\pm$ 0.10 0.89 $\pm$ 0.11
1506+1922 15.93 $\pm$ 0.03 16.23 $\pm$ 0.02 2.8 5.6 -19.60 $\pm$ 0.05 1.01 $\pm$ 0.03 1.00 $\pm$ 0.04
1513+2012 15.79 $\pm$ 0.09 15.96 $\pm$ 0.13 4.0 3.4 -21.09 $\pm$ 0.10 0.84 $\pm$ 0.15 0.79 $\pm$ 0.15
1537+2506N 15.13 $\pm$ 0.03 15.33 $\pm$ 0.03 4.8 6.6 -20.76 $\pm$ 0.05 0.90 $\pm$ 0.08 0.87 $\pm$ 0.09
1537+2506S 16.10 $\pm$ 0.05 16.32 $\pm$ 0.05 2.9 3.5 -19.79 $\pm$ 0.07 0.75 $\pm$ 0.09 0.67 $\pm$ 0.10
1557+1423 16.65 $\pm$ 0.09 16.83 $\pm$ 0.12 2.6 3.3 -19.55 $\pm$ 0.10 0.90 $\pm$ 0.14 0.87 $\pm$ 0.15
1612+1308 18.05 $\pm$ 0.05 18.11 $\pm$ 0.08 0.5 1.4 -16.27 $\pm$ 0.08 0.35 $\pm$ 0.12 0.37 $\pm$ 0.15
1646+2725 18.16 $\pm$ 0.03 18.54 $\pm$ 0.05 2.8 4.5 -18.61 $\pm$ 0.05 0.33 $\pm$ 0.20 0.27 $\pm$ 0.21
1647+2950 15.43 $\pm$ 0.03 15.56 $\pm$ 0.05 4.7 5.7 -20.91 $\pm$ 0.05 0.67 $\pm$ 0.11 0.66 $\pm$ 0.12
1647+2729 16.03 $\pm$ 0.06 16.06 $\pm$ 0.09 4.1 3.9 -20.91 $\pm$ 0.07 0.73 $\pm$ 0.10 0.68 $\pm$ 0.12
1647+2727 17.12 $\pm$ 0.04 16.15 $\pm$ 0.06 4.3 2.0 -19.83 $\pm$ 0.06 0.83 $\pm$ 0.09 0.74 $\pm$ 0.10
1648+2855 15.40 $\pm$ 0.02 15.58 $\pm$ 0.04 3.2 3.8 -21.13 $\pm$ 0.04 0.42 $\pm$ 0.07 0.48 $\pm$ 0.08
1653+2644 14.72 $\pm$ 0.03 15.01 $\pm$ 0.06 3.8 4.5 -22.37 $\pm$ 0.05 - -
1654+2812 18.06 $\pm$ 0.11 18.60 $\pm$ 0.15 3.6 3.5 -18.84 $\pm$ 0.12 0.63 $\pm$ 0.08 0.63 $\pm$ 0.11



 
Table 3: continued
UCM name $(m_{B})_{\rm T}$ (mB)24 $R_{\rm e}$(kpc) $r_{1/2}(\hbox{$^{\prime\prime}$ })$ MB $(B-r)_{\rm ef}$ (B-r)24
(1) (2) (3) (4) (5) (6) (7) (8)
1655+2755 15.59 $\pm$ 0.09 15.88 $\pm$ 0.13 9.9 10.0 -21.30 $\pm$ 0.10 1.28$\pm$ 0.15 1.20 $\pm$ 0.15
1656+2744 16.84 $\pm$ 0.03 17.37 $\pm$ 0.23 1.7 3.0 -19.89 $\pm$ 0.04 0.74 $\pm$ 0.13 0.82 $\pm$ 0.26
1657+2901 17.12 $\pm$ 0.01 17.23 $\pm$ 0.04 2.2 2.3 -19.54 $\pm$ 0.04 0.73 $\pm$ 0.10 0.67 $\pm$ 0.11
1659+2928 15.73 $\pm$ 0.09 16.02 $\pm$ 0.12 4.9 4.4 -21.24 $\pm$ 0.10 0.76 $\pm$ 0.14 0.76 $\pm$ 0.14
1701+3131 15.27 $\pm$ 0.08 15.40 $\pm$ 0.11 4.2 4.2 -21.47 $\pm$ 0.08 0.99 $\pm$ 0.12 0.82 $\pm$ 0.13
2238+2308 14.86 $\pm$ 0.02 14.86 $\pm$ 0.05 5.4 5.6 -21.17 $\pm$ 0.05 0.81 $\pm$ 0.07 0.77 $\pm$ 0.08
2239+1959 14.82 $\pm$ 0.04 15.01 $\pm$ 0.05 3.0 4.4 -21.34 $\pm$ 0.05 0.78 $\pm$ 0.09 0.73 $\pm$ 0.10
2249+2149 15.96 $\pm$ 0.06 16.26 $\pm$ 0.06 7.9 5.9 -21.51 $\pm$ 0.07 1.27 $\pm$ 0.34 1.20 $\pm$ 0.35
2250+2427 15.39 $\pm$ 0.03 15.48 $\pm$ 0.06 3.0 2.6 -21.88 $\pm$ 0.04 0.32 $\pm$ 0.08 0.55 $\pm$ 0.10
2251+2352 16.36 $\pm$ 0.02 16.45 $\pm$ 0.05 1.8 2.4 -19.81 $\pm$ 0.04 0.50 $\pm$ 0.10 0.59 $\pm$ 0.11
2253+2219 16.12 $\pm$ 0.02 16.18 $\pm$ 0.08 1.9 3.7 -19.88 $\pm$ 0.05 0.61 $\pm$ 0.05 0.63 $\pm$ 0.09
2255+1930S 16.08 $\pm$ 0.02 16.16 $\pm$ 0.07 1.2 2.1 -19.54 $\pm$ 0.05 0.21 $\pm$ 0.21 0.56 $\pm$ 0.22
2255+1930N 15.76 $\pm$ 0.02 15.95 $\pm$ 0.05 2.2 3.8 -19.80 $\pm$ 0.05 1.02 $\pm$ 0.20 1.10 $\pm$ 0.21
2255+1926 16.74 $\pm$ 0.03 17.18 $\pm$ 0.06 3.2 5.5 -18.77 $\pm$ 0.06 0.55 $\pm$ 0.10 0.54 $\pm$ 0.11
2255+1654 16.62 $\pm$ 0.03 16.84 $\pm$ 0.06 6.8 10.2 -20.50 $\pm$ 0.04 1.20 $\pm$ 0.05 1.08 $\pm$ 0.08
2256+2001 15.62 $\pm$ 0.04 16.03 $\pm$ 0.04 8.2 12.2 -20.35 $\pm$ 0.06 1.11 $\pm$ 0.07 1.06 $\pm$ 0.08
2257+2438 16.04 $\pm$ 0.05 16.15 $\pm$ 0.10 1.3 1.4 -20.71 $\pm$ 0.06 -0.30 $\pm$ 0.10 0.14 $\pm$ 0.12
2257+1606 16.40 $\pm$ 0.07 16.57 $\pm$ 0.15 2.0 2.1 -20.38 $\pm$ 0.08 - -
2258+1920 15.80 $\pm$ 0.05 15.99 $\pm$ 0.09 2.8 4.6 -19.95 $\pm$ 0.06 0.33 $\pm$ 0.10 0.41 $\pm$ 0.11
2300+2015 16.53 $\pm$ 0.04 16.87 $\pm$ 0.06 4.4 3.9 -20.27 $\pm$ 0.05 0.70 $\pm$ 0.11 0.80 $\pm$ 0.12
2302+2053W 17.97 $\pm$ 0.02 18.20 $\pm$ 0.08 1.6 1.7 -18.79 $\pm$ 0.04 0.53 $\pm$ 0.06 0.86 $\pm$ 0.10
2302+2053E 15.49 $\pm$ 0.02 15.85 $\pm$ 0.06 5.6 6.8 -21.28 $\pm$ 0.04 1.49 $\pm$ 0.05 1.37 $\pm$ 0.07
2303+1856 15.62 $\pm$ 0.03 15.86 $\pm$ 0.17 3.5 5.1 -20.64 $\pm$ 0.05 0.90 $\pm$ 0.11 0.85 $\pm$ 0.20
2303+1702 17.46 $\pm$ 0.05 17.76 $\pm$ 0.11 4.3 4.3 -19.86 $\pm$ 0.06 1.31 $\pm$ 0.12 1.27 $\pm$ 0.14
2304+1640 17.56 $\pm$ 0.02 17.89 $\pm$ 0.17 0.9 2.1 -17.81 $\pm$ 0.05 -0.18 $\pm$ 0.10 0.27 $\pm$ 0.19
2304+1621 16.69 $\pm$ 0.08 17.28 $\pm$ 0.14 2.9 4.0 -20.34 $\pm$ 0.08 1.22 $\pm$ 0.12$^\dagger$ -
2307+1947 16.62 $\pm$ 0.05 16.85 $\pm$ 0.06 2.9 3.7 -19.62 $\pm$ 0.06 1.01 $\pm$ 0.21 0.91 $\pm$ 0.21
2310+1800 16.76 $\pm$ 0.03 16.97 $\pm$ 0.05 3.7 3.6 -20.18 $\pm$ 0.05 0.78 $\pm$ 0.33 0.94 $\pm$ 0.33
2312+2204 17.13 $\pm$ 0.08 17.39 $\pm$ 0.10 2.1 2.6 -19.64 $\pm$ 0.08 - -
2313+1841 16.59 $\pm$ 0.06 17.27 $\pm$ 0.12 3.1 8.8 -19.87 $\pm$ 0.07 0.87 $\pm$ 0.06 0.79 $\pm$ 0.13
2313+2517 14.91 $\pm$ 0.03 15.23 $\pm$ 0.04 5.7 6.4 -21.45 $\pm$ 0.05 - -
2315+1923 17.22 $\pm$ 0.07 17.61 $\pm$ 0.16 2.2 2.6 -19.73 $\pm$ 0.08 0.39 $\pm$ 0.09 0.48 $\pm$ 0.18
2316+2457 14.35 $\pm$ 0.03 14.51 $\pm$ 0.05 4.7 7.0 -22.03 $\pm$ 0.05 0.86 $\pm$ 0.09 0.77 $\pm$ 0.09
2316+2459 15.82 $\pm$ 0.04 16.24 $\pm$ 0.11 6.4 10.6 -20.53 $\pm$ 0.05 0.85 $\pm$ 0.08 0.83 $\pm$ 0.13
2316+2028 16.84 $\pm$ 0.04 17.08 $\pm$ 0.17 1.3 1.9 -19.33 $\pm$ 0.06 -0.38 $\pm$ 0.09 0.12 $\pm$ 0.20
2317+2356 13.86 $\pm$ 0.04 13.99 $\pm$ 0.11 8.8 9.8 -22.89 $\pm$ 0.05 0.75 $\pm$ 0.05 0.67 $\pm$ 0.12
2319+2234 16.50 $\pm$ 0.05 16.86 $\pm$ 0.13 3.2 3.2 -20.36 $\pm$ 0.06 -0.17 $\pm$ 0.08 0.12 $\pm$ 0.15
2319+2243 15.69 $\pm$ 0.05 16.05 $\pm$ 0.12 4.4 5.4 -20.83 $\pm$ 0.06 1.07 $\pm$ 0.07 1.02 $\pm$ 0.14
2320+2428 15.13 $\pm$ 0.06 15.80 $\pm$ 0.16 6.6 10.4 -21.51 $\pm$ 0.07 1.26 $\pm$ 0.07 1.21 $\pm$ 0.17
2321+2149 16.55 $\pm$ 0.05 16.74 $\pm$ 0.09 4.2 5.0 -20.36 $\pm$ 0.06 0.66 $\pm$ 0.10 0.66 $\pm$ 0.11
2321+2506 15.75 $\pm$ 0.05 15.86 $\pm$ 0.09 5.3 5.3 -20.86 $\pm$ 0.06 0.54 $\pm$ 0.10 0.51 $\pm$ 0.11
2322+2218 17.69 $\pm$ 0.02 17.89 $\pm$ 0.03 1.9 2.4 -18.32 $\pm$ 0.05 0.77 $\pm$ 0.33 0.95 $\pm$ 0.33
2324+2448 13.32 $\pm$ 0.07 13.62 $\pm$ 0.08 7.1 21.4 -21.20 $\pm$ 0.10 0.91 $\pm$ 0.10 0.81 $\pm$ 0.11
2325+2318 13.21 $\pm$ 0.01 13.37 $\pm$ 0.03 3.1 9.9 -21.25 $\pm$ 0.06 - -
2325+2208 12.91 $\pm$ 0.04 13.00 $\pm$ 0.08 9.9 28.8 -21.67 $\pm$ 0.07 1.05 $\pm$ 0.11 0.98 $\pm$ 0.10
2326+2435 16.09 $\pm$ 0.04 16.54 $\pm$ 0.14 2.7 9.3 -19.17 $\pm$ 0.07 0.48 $\pm$ 0.08 0.44 $\pm$ 0.16
2327+2515N 15.83 $\pm$ 0.05 15.47 $\pm$ 0.06 2.9 2.3 -19.79 $\pm$ 0.07 0.34 $\pm$ 0.07 0.10 $\pm$ 0.09
2327+2515S 15.77 $\pm$ 0.05 15.64 $\pm$ 0.06 2.7 3.3 -19.85 $\pm$ 0.07 0.60 $\pm$ 0.07 0.46 $\pm$ 0.09
2329+2427 16.03 $\pm$ 0.08 16.39 $\pm$ 0.09 3.5 5.9 -19.52 $\pm$ 0.09 1.50 $\pm$ 0.10 1.45 $\pm$ 0.11
2329+2500 16.28 $\pm$ 0.04 16.47 $\pm$ 0.09 1.9 2.7 -20.16 $\pm$ 0.06 0.89 $\pm$ 0.12 0.99 $\pm$ 0.14
2329+2512 17.00 $\pm$ 0.07 17.43 $\pm$ 0.08 1.0 2.9 -17.63 $\pm$ 0.09 1.16 $\pm$ 0.32 1.15 $\pm$ 0.33
2331+2214 17.63 $\pm$ 0.07 17.99 $\pm$ 0.10 2.9 3.4 -19.11 $\pm$ 0.08 1.36 $\pm$ 0.08 1.34 $\pm$ 0.11
2333+2248 17.45 $\pm$ 0.06 17.79 $\pm$ 0.13 4.6 3.9 -19.60 $\pm$ 0.07 1.19 $\pm$ 0.16 1.09 $\pm$ 0.15
2333+2359 17.70 $\pm$ 0.06 18.01 $\pm$ 0.10 3.0 2.8 -19.08 $\pm$ 0.07 1.98 $\pm$ 0.13 1.91 $\pm$ 0.14
2348+2407 17.93 $\pm$ 0.08 18.25 $\pm$ 0.10 2.0 2.1 -18.88 $\pm$ 0.09 1.63 $\pm$ 0.10 1.64 $\pm$ 0.13
2351+2321 18.56 $\pm$ 0.08 18.80 $\pm$ 0.10 1.1 1.5 -17.69 $\pm$ 0.09 1.81 $\pm$ 0.17 2.06 $\pm$ 0.18

$^\dagger$ Total colour calculated from integrated magnitudes. No radial data are available due to low SNR in the images.

Table 3: (1) UCM name. (2) Total Johnson B magnitude calculated with several polygons. We have also measured the asymptotic magnitude at two Kron radius yielding an average difference with the polygon measure of 0.02 magnitudes. (3) Johnson B magnitude measured inside the 24 mag arcsec-2 isophote. (4) Effective radius in kpc measured in circular apertures and converted to distance using a Hubble constant H0=50 km s-1 Mpc-1 and a deceleration parameter q0=0.5. (5) Equivalent half-light radius calculated with isophotal apertures. (6) Absolute magnitude corrected from Galactic extinction according to the maps of Galactic reddening of Burstein & Heiles ([1982]). (7) B-r colour measured inside the effective isophote. (8) B-r colour measured inside the 24 mag arcsec-2 isophote.


next previous
Up: Optical photometry of the II

Copyright The European Southern Observatory (ESO)