next previous
Up: Instantaneous positions of microwave


Subsections

   
2 Angular positions determination from four beams observations

   
2.1 Basic formalism

The observed antenna temperature is the convolution between the brightness-temperature distribution of the source ($T_{\rm S}$) and the beam pattern ($P_{\rm A}$). Rewriting Eq. (1) in one dimension (for the sake of simplicity)

\begin{displaymath}%
T_{\rm A}(\varphi_\circ) =
\frac{\eta}{\Phi_{\rm A}}
\time...
...(\varphi)
P_{\rm A}(\varphi - \varphi_\circ) {\rm d}\varphi};
\end{displaymath} (2)

where, $\Phi_{\rm A} \doteq \int P_{\rm A}(\varphi_{\rm A}){\rm d}\varphi$ and $\eta$is a factor taking into account various system losses, such as the beam and aperture efficiencies and the radome transmission. The main lobe of the beam pattern can be sufficiently well approximated by means of a Gaussian function,

\begin{displaymath}%
P_{\rm A}(\varphi) = \exp\left (-\frac{\varphi^2}{2 \sigma_{\rm A}^2}\right );
\end{displaymath} (3)

where the antenna half power beam width (HPBW) is related to $\sigma$as $HPBW^2 = -8 \sigma_{\rm A}^2 \ln(1/2) = 2 \sigma_{\rm A}^2 \ln{(16)}$. Assuming for the source brightness temperature distribution also a Gaussian function,

\begin{displaymath}%
T_{\rm S}(\varphi) = T_{\rm S\circ}
\exp\left(
-
\frac{\varphi^2}{2 \sigma_{\rm S}^2}\right);
\end{displaymath} (4)

with a half power width, $HPW_{\rm S}^2 = -8 \sigma_{\rm S}^2 \ln(1/2) = 2
\sigma_{\rm S}^2 \ln{(16)}$, the convolution of this two functions is straightforward and yields

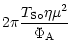
 \begin{displaymath}%
T_{\rm A}(\varphi_\circ) = T_{\rm S\circ}\sqrt{2 \pi}\mu
\...
...rphi_\circ^2}{2(\sigma_{\rm A}^2 + \sigma_{\rm S}^2)}\right );
\end{displaymath} (5)

where $\mu = \sqrt{\sigma_{\rm A}^2 \sigma_{\rm S}^2 /(\sigma_{\rm A}^2
+ \sigma_{\rm S}^2)}$. This result means that a scan over a Gaussian source generates a Gaussian observed brightness temperature distribution with a $\sigma_{\rm O}$,

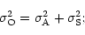
 \begin{displaymath}%
\sigma_{\rm O}^2 = \sigma_{\rm A}^2 + \sigma_{\rm S}^2;
\end{displaymath} (6)

or, because HPW is proportional to $\sigma$, with an observed half power width

 \begin{displaymath}%
HPW_{\rm O}^2 = HPBW^2 + HPW_{\rm S}^2.
\end{displaymath} (7)

Figure 2 illustrates this relationship. The extension of Eq. (5) in the case of the convolution of two axially symmetric Gaussian, is immediate.

Instead of scanning, the multiple beams of the Itapetinga 13.7-m radio telescope are fixed with respect to the source and obtain brightness temperatures pointing to up to five different directions at the same time in order to achieve both a high temporal resolution (1 ms) and a high precision localization of the direction of emission.

Assuming that the beams transmission coefficients and HPBW are equal for the five receivers, we can write the 2-dimensional Eq. (5) for each beam

 
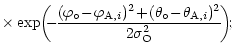
$\displaystyle %
T_{{\rm A},i}(\varphi_\circ,\theta_\circ)$ = $\displaystyle 2
\pi \frac{T_{\rm S\circ}\eta \mu^2}{\Phi_{\rm A}}$  
    $\displaystyle \times
\exp
\!\left(\!
\!-\!
\frac{(\varphi_\circ
\!-\!
\varphi_{...
...(\theta_\circ
\!-\!
\theta_{{\rm A},i})^2}{ 2 \sigma_{\rm O}^2}
\!\right)\!\! ;$ (8)

where the subscript i=1, 2, 3, 4, 5 refers to each beam, $(\varphi_\circ,
\theta_\circ)$ is the displacement in RA and declination between the antenna axis reference direction and the source and $(\varphi_{{\rm A},i},
\theta_{{\rm A},i})$ is the displacement between each beam and the antenna axis. Expression (8) is a system of five equations with four unknowns, namely: $T_{\rm S\circ}$, $\sigma_{\rm O}$, $\varphi_\circ$ and $\theta_\circ$. In order to solve it we take four out of the five equations, e.g.: i=1, 2, 3 and 4 and create a reduced system of four equations with four unknowns which is easily solved. We can draw five such reduced set of equations changing the beams used, which can be useful to determine the uncertainties in the solution.

While the interpretation of bursts positions for emission centroids was largely discussed in previous works (e.g. Costa et al. 1995; Correia et al. 1995; Herrmann et al. 1992, 1997) we want here to stress the importance in the determination of $HPW_{\rm O}$ related to both, the HPBW and the $HPW_{\rm S}$ by the Eq. (7). The convolution of a very extended source with a beam should result in a big value for $HPW_{\rm O}$, contrary to the case of a point source, for which we can assume a $HPW_{\rm S}
\approx 0$, resulting in $HPW_{\rm O} \approx HPBW$.

   
2.2 Validity of the method


  \begin{figure}
\par\includegraphics[width=7cm,clip]{ds1582f3.eps}\end{figure} Figure 3: Example of a longitudinal view of one of the "cigar-like'' sources. At half power points it has a length of about 25 arcsec, and a width of 4 arcsec

We stress that the method finds the instantaneous (1 ms) burst center position, for an isolated source, or the center of an equivalent extended source containing multiple sources emitting simultaneously. In order to assess the accuracy of the position determination, we have carried out some simulations. In these simulations the antenna beams are represented by axially symmetric Gaussians. To simulate different sources and sizes, we have used a set of 8 contiguous axially symmetric Gaussians, overlapping each other in a ${\rm e}^{-1}$ level. This overlapping creates an extended constant region and produces a "cigar'' shape source, with a fixed quotient between principal axes of about 6 (see Fig. 3). Such shapes could be also obtained using other geometrical compositions, with the same final results. We prefer compose Gaussians because of the simplicity in the calculations. It is clear that these "cigars'' are no longer the axially symmetric Gaussian sources assumed by the inversion method. In Fig. 4 we show the antenna five beam disposition. In the center of the beams 2-3-4-5, we show one of the "cigars'', build up from the 8 small circles. This is the longest source used for the simulations, extending for almost 2.5 arcmin.


  \begin{figure}
\par\includegraphics[width=7cm]{ds1582f4.eps}\end{figure} Figure 4: Antenna beam disposition over a "cigar-like'' simulated source. The big circles are the 5 Itapetinga beams at 50% level. The 8 small circles, between beams 2-3-4-5, build the "cigar'' source. This is is the longest source used in our simulations

In Fig. 5 we show the discrepancy between the real position of the source center of brightness and the computed one in terms of the source length. The discrepancy is computed as the geometrical distance between these two points. The difference, for the longest source (2.5 arcmin) is about 6 arcsec, which is of the same order of the observational uncertainties (Costa et al. 1995); while for a source of 1 arcmin long is reduced to about 1 arcsec. We performed different simulations changing the orientation of the source. In all of them, the results remained in the same range, sometimes, even better.


  \begin{figure}
\par\includegraphics[width=7cm,clip]{ds1582f5.eps}\end{figure} Figure 5: Discrepancy as a function of source length. Discrepancy is calculated as the geometrical distance between the computed solution and the center of brightness of the "cigar'' shaped sources

In another simulation, we took a 1 arcmin $\times$ 6 arcsec "cigar-like'' source and changed its position over the field of view of channels 2-3-4-5. In Fig. 6 we show the difference in azimuth and elevation between the computed and the real position. Continuous bars indicate position discrepancies. The maximum error in elevation is almost 24 arcsec, while the minimum is near 0 arcsec. In azimuth, the discrepancies are negligible over all locations.


  \begin{figure}
\par\includegraphics[width=7cm,clip]{ds1582f6.eps}\end{figure} Figure 6: Position-dependent error in azimuth and elevation over the field of view of channels 2-3-4-5. Similar results are expected for channels 1-2-3-4. The 6% level condition is fulfilled inside the area limited by the closed curves

   
2.2.1 Side lobes influence on position determination

Side lobes may influence the position determination by incrementing the antenna temperature in some channels, where side lobe contribution might be added. This increment could be of the order of 3% of a main beam level (Herrmann et al. 1992). It is easy to simulate this excess by artificially incrementing the level to some channels. We have carried one simulation where we exceeded that level and applied up to 10% increment to 1, 2, and 3 out of the 4 channels used to compute positions. The discrepancy in the worst case (3 artificially incremented channels), for a 2.5 arcmin long source in the center of the four beams, is 12 arcsec. For a 1 arcmin source length the discrepancy falls to about 3 arcsec.

The assumed Gaussian beam mimetize the central part of the main beam down to the level of 3% (-15 db) of the peak. Directions outside of this 3% level on both sides of the main lobe (including its wings) are considered unknown and may contain comma or side lobes with a maximum gain of 3% of the main beam. A condition to be fulfilled if we want to have non-contradictory solutions, is to have the sources inside the main lobe over the 3% level. We can check this condition taking quotients between antenna temperatures and assuming the worst situation. This is when one beam observes the source near its 3% level and, at the same time, the beam which has the highest antenna temperature observes the same source at the farthest point respect to its beam center. In that case the highest antenna temperature beam will be near its 50% level. The quotient between these two antenna temperatures will be $3/50 = 0.06 \equiv 6$%. Thus, our sufficient condition is that 4 out of the 5 beams, have simultaneously antenna temperature quotients, respect to the highest one, bigger than 6%. In Fig. 6 we show the area where this condition is fulfilled, which matches the area where the uncertainties of the method are smaller compared with the observational uncertainties described in Costa et al. (1995).

In summary, we have shown with simulations that, as far as the condition of the above mentioned 6% ratio is fulfilled, the position determination is very precise (below or similar to the observational uncertainties) and very robust when considering side lobe effects. In practice we have shown that the influence of side lobes on position determination is negligible even for extreme cases of long asymmetric sources. Better knowledge of beam shapes and side lobes will not improve considerably the accuracy of the method in comparison to the observational uncertainties.

Finally, we conclude that, for a source of up to 1 arcmin long, irrespectively of the shape and provided that the above described 6% criterion is fulfilled, the uncertainty in position determination is smaller than or of the same order of the observational uncertainties (i.e. around or below 5 arcsec).


next previous
Up: Instantaneous positions of microwave

Copyright The European Southern Observatory (ESO)